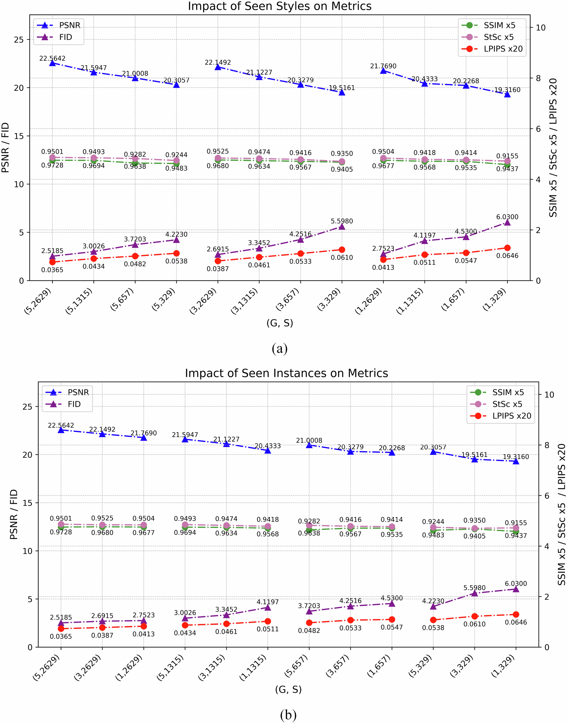
Fig. 11: Impact of G and S samples on CINet performance.

a Impact of seen style samples (S) on performance. b Impact of seen glyph instance samples(G) on performance.

a Impact of seen style samples (S) on performance. b Impact of seen glyph instance samples(G) on performance.