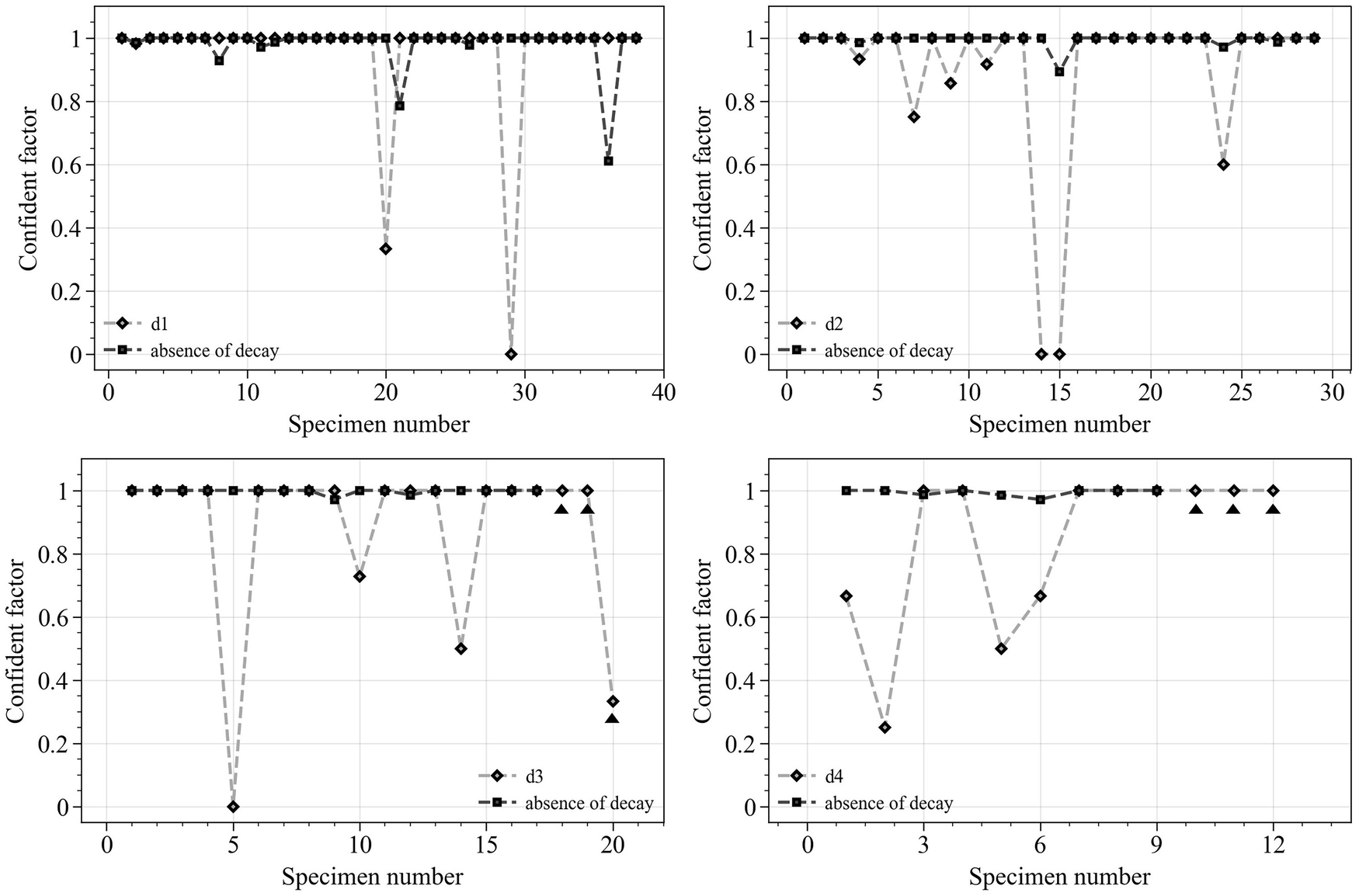
Fig. 12: Comparison of sample confidence between decay and absence of deterioration.

The decay area and non-deterioration area are from the same specimen and are represented by the same specimen number. d1: Decay level-1; d2: Decay level-2; d3: Decay level-3; d4: Decay level-4. The black triangle represents that the specimen is only collected images with defect (decay).