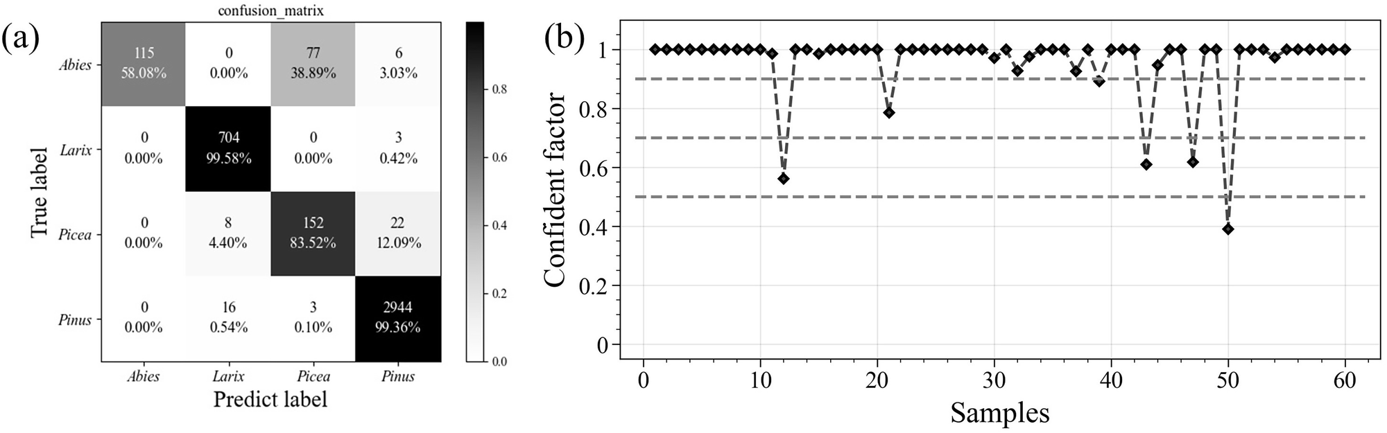
Fig. 8: Wood identification results of the RepLKNet model. | npj Heritage Science