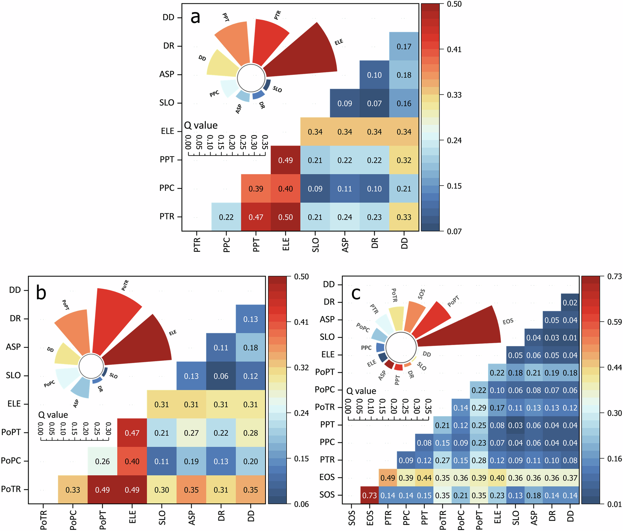
Fig. 6: Geodetector results of influencing factors of phenological indicators.

a SOS; b EOS; c LGS. The radial bar chart shows the q value of the single-element Geodetector results, and the lower triangular heat map shows the q value of the interactive detection results (PTR pre-season temperature rate, PoTR post-season temperature rate, PPC pre-season precipitation change, PPT pre-season precipitation total, PoPC post-season precipitation change, PoPT post-season precipitation total, ELE elevation, SLO slope, ASP aspect, DD distance from road, DR distance from river).