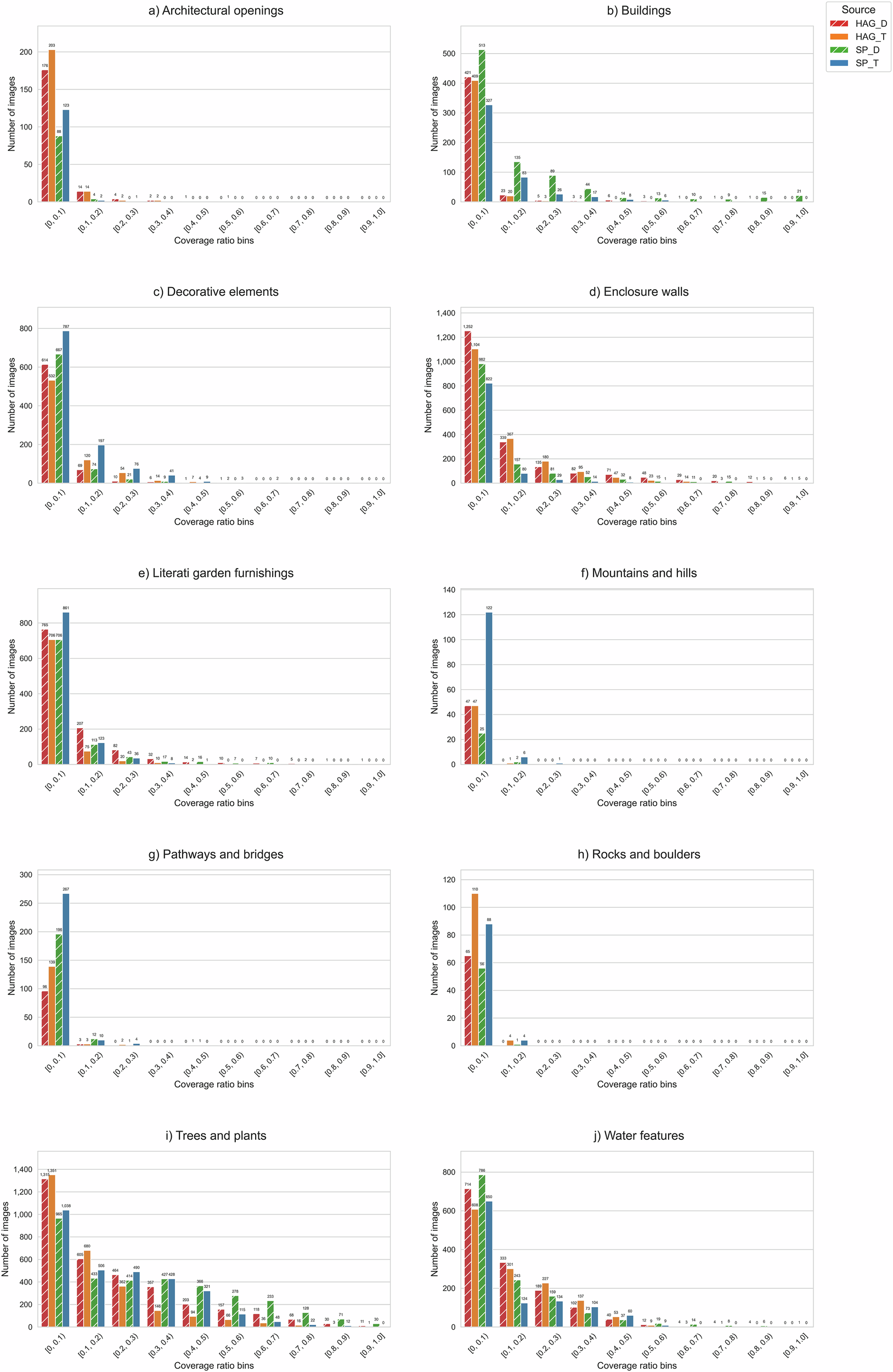
Fig. 5: Histogram of coverage ratio bins for each component across different sources (Source: created by the authors).

In all panels, the x axis represents coverage ratio bins ranging from 0 to 1 with an interval of 0.1, and the y axis denotes the number of images within each bin. The four datasets are consistently color-coded: HAG_D (red), HAG_T (orange), SP_D (green), and SP_T (blue). The panels correspond to a architectural openings, b buildings, c decorative elements, d enclosure walls, e literati garden furnishings, f mountains and hills, g pathways and bridges, h rocks and boulders, i trees and plants, j water features. Each panel illustrates the distribution of coverage ratios for the corresponding component across the four datasets.