Fig. 1
From: Socioeconomic differences in childhood BMI trajectories in Belarus

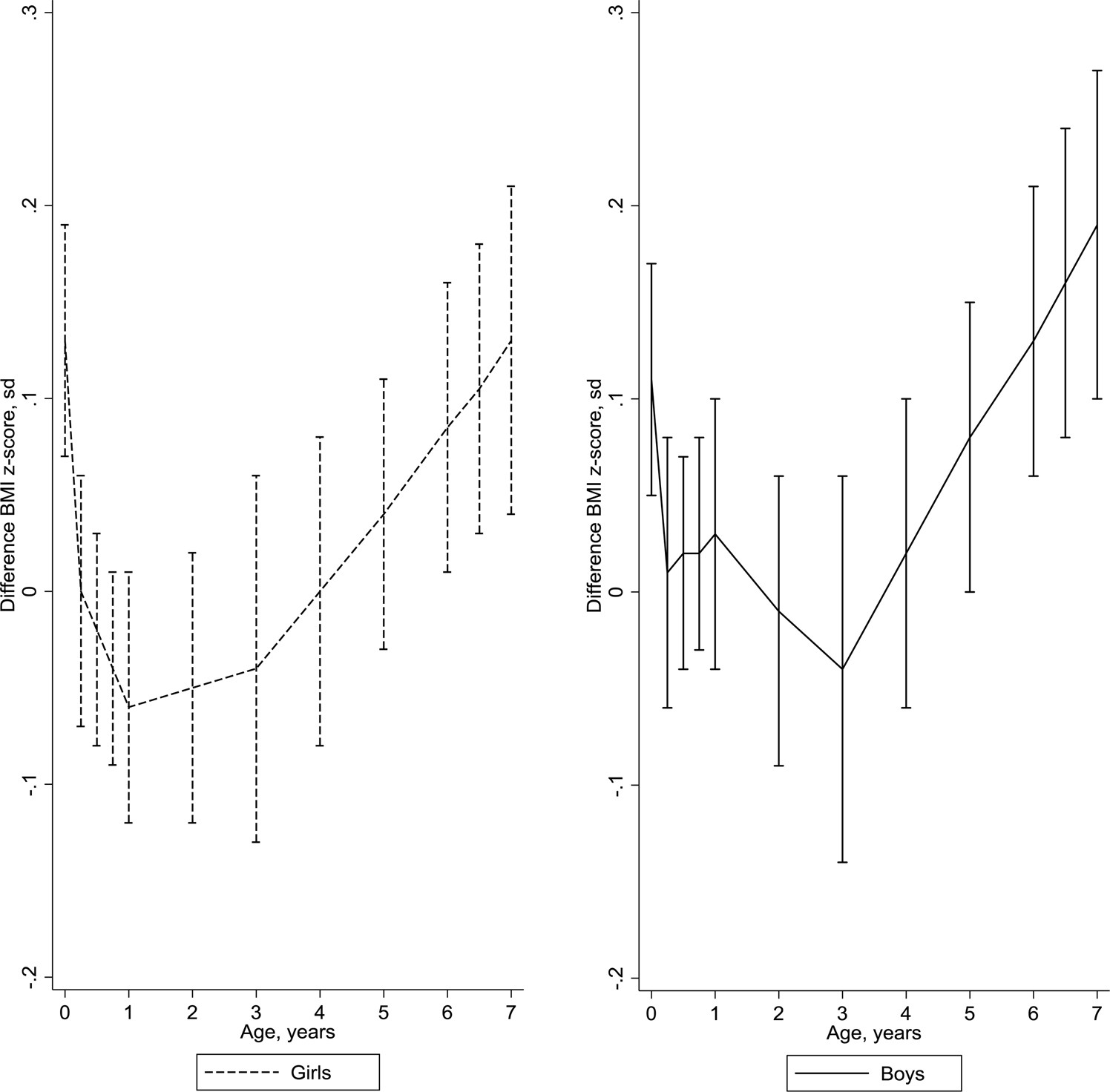
Absolute difference (and its 95% confidence interval) in BMI z-score between the highest versus lowest category of maternal education in girls and boys
From: Socioeconomic differences in childhood BMI trajectories in Belarus

Absolute difference (and its 95% confidence interval) in BMI z-score between the highest versus lowest category of maternal education in girls and boys