Abstract
Background
Grape-seed proanthocyanidin extract (GSPE) improve white adipose tissue (WAT) expansion during diet-induced obesity. However, because adipose metabolism is synchronized by circadian rhythms, it is plausible to speculate that the bioactivity of dietary proanthocyanidins could be influenced by the time-of-day in which they are consumed. Therefore, the aim of the present study was to determine the interaction between zeitgeber time (ZT) and GSPE consumption on the functionality of WAT in rats with diet-induced obesity.
Methods
Male Wistar rats were fed a cafeteria diet for 9 weeks. After 5 weeks, the animals were supplemented with 25 mg GSPE/kg for 4 weeks at the beginning of the light/rest phase (ZT0) or of the dark/active phase (ZT12). Body fat content was determined by nuclear magnetic resonance and histological analyses were performed in the epididymal (EWAT) and inguinal (IWAT) fat depots to determine adipocyte size and number. In addition, the expression of genes related to adipose metabolism and circadian clock function were analyzed by qPCR.
Results
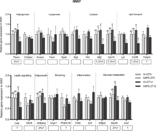
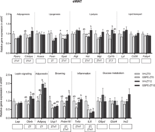
GSPE consumption at ZT0 was associated with a potential antidiabetic effect without affecting adiposity and energy intake and downregulating the gene expression of inflammatory markers in EWAT. In contrast, GSPE consumption at ZT12 improved adipose tissue expansion decreasing adipocyte size in IWAT. In accordance with this adipogenic activity, the expression of genes involved in fatty acid metabolism were downregulated at ZT12 in IWAT. In turn, GSPE consumption at ZT12, but not at ZT0, repressed the expression of the clock gene Cry1 in IWAT.
Conclusions
The interaction between ZT and GSPE consumption influenced the metabolic response of WAT in a tissue-specific manner. Understanding the impact of circadian clock on adipose metabolism and how this is regulated by polyphenols will provide new insights for the management of obesity.
This is a preview of subscription content, access via your institution
Access options
Subscribe to this journal
Receive 12 print issues and online access
$259.00 per year
only $21.58 per issue
Buy this article
- Purchase on SpringerLink
- Instant access to the full article PDF.
USD 39.95
Prices may be subject to local taxes which are calculated during checkout




Similar content being viewed by others
Data availability
Application for datasets generated during and/or analyzed during the current study may be considered by the corresponding author on reasonable request.
References
Conway B, Rene A. Obesity as a disease: no lightweight matter. Obes Rev. 2004;5:145–51.
Coelho M, Oliveira T, Fernandes R. Biochemistry of adipose tissue: an endocrine organ. Arch Med Sci. 2013;9:191–200.
Ducharme NA, Bickel PE. Minireview: Lipid droplets in lipogenesis and lipolysis. Endocrinology. 2008;149:942–9.
Kuri-Harcuch W, Velez-delValle C, Vazquez-Sandoval A, Hernández-Mosqueira C, Fernandez-Sanchez V. A cellular perspective of adipogenesis transcriptional regulation. J Cell Physiol. 2019;234:1111–29.
Madsen MS, Siersbaek R, Boergesen M, Nielsen R, Mandrup S. Peroxisome proliferator-activated receptor and C/EBP synergistically activate key metabolic adipocyte genes by assisted loading. Mol Cell Biol. 2014;34:939–54.
Chait A, den Hartigh LJ. Adipose tissue distribution, inflammation and its metabolic consequences, including diabetes and cardiovascular disease. Front Cardiovasc Med. 2020;7:1–41.
Stanford KI, Middelbeek RJW, Goodyear LJ. Exercise effects on white adipose tissue: beiging and metabolic adaptations. Diabetes. 2015;64:2361–8.
Palou A, Picó C, Luisa, Bonet M. Nutritional potential of metabolic remodelling of white adipose tissue. Curr Opin Clin Nutr Metab Care. 2013;16:650–6.
Peng J, Jia Y, Hu T, Du J, Wang Y, Cheng B, et al. GC-(4→8)-GCG, a proanthocyanidin dimer from camellia ptilophylla, modulates obesity and adipose tissue inflammation in high-fat diet induced obese mice. Mol Nutr Food Res. 2019;63:1–12.
Ardévol A, Motilva MJ, Serra A, Blay M, Pinent M. Procyanidins target mesenteric adipose tissue in Wistar lean rats and subcutaneous adipose tissue in Zucker obese rat. Food Chem. 2013;141:160–6.
Pascual-Serrano A, Bladé C, Suárez M, Arola-Arnal A. Grape seed proanthocyanidins improve white adipose tissue expansion during diet-induced obesity development in rats. Int J Mol Sci. 2018;19:2632.
Pascual-Serrano A, Arola-Arnal A, Suárez-García S, Bravo FI, Suárez M, Arola L, et al. Grape seed proanthocyanidin supplementation reduces adipocyte size and increases adipocyte number in obese rats. Int J Obes. 2017;41:1246–55.
Patke A, Young MW, Axelrod S. Molecular mechanisms and physiological importance of circadian rhythms. Nat Rev Mol Cell Biol. 2020;21:67–84.
Ptitsyn AA, Zvonic S, Conrad SA, Scott LK, Mynatt RL, Gimble JM. Circadian clocks are resounding in peripheral tissues. PLoS Comput Biol. 2006;2:126–35.
Zvonic S, Ptitsyn AA, Conrad SA, Scott LK, Floyd ZE, Kilroy G, et al. Characterization of peripheral circadian clocks in adipose tissues. Diabetes. 2006;55:962–70.
Shostak A, Meyer-Kovac J, Oster H. Circadian regulation of lipid mobilization in white adipose tissues. Diabetes. 2013;62:2195–203.
Stenvers DJ, Scheer FAJL, Schrauwen P, la Fleur SE, Kalsbeek A. Circadian clocks and insulin resistance. Nat Rev Endocrinol. 2019;15:75–89.
Ribas-latre A, Santos RB, Fekry B, Tamim YM, Shivshankar S, Mohamed AMT, et al. Cellular and physiological circadian mechanisms drive diurnal cell proliferation and expansion of white adipose tissue. Nat Commun. 2021;12:3482.
Dollet L, Zierath JR. Interplay between diet, exercise and the molecular circadian clock in orchestrating metabolic adaptations of adipose tissue. J Physiol. 2019;597:1439–50.
Margalef M, Pons Z, Iglesias-Carres L, Bravo FI, Muguerza B, Arola-Arnal A. Lack of tissue accumulation of grape seed flavanols after daily long-term administration in healthy and cafeteria-diet obese rats. J Agric Food Chem. 2015;63:9996–10003.
Ribas-Latre A, Baselga-Escudero L, Casanova E, Arola-Arnal A, Salvadó MJ, Arola L, et al. Chronic consumption of dietary proanthocyanidins modulates peripheral clocks in healthy and obese rats. J Nutr Biochem. 2015;26:112–9.
Foster MT, Softic S, Caldwell J, Kohli R, DeKloet AD, Seeley RJ. Subcutaneous adipose tissue transplantation in diet-induced obese mice attenuates metabolic dysregulation while removal exacerbates it. Physiol Rep. 2013;1:1–12.
Cox-York K, Wei Y, Wang D, Pagliassotti MJ, Foster MT. Lower body adipose tissue removal decreases glucose tolerance and insulin sensitivity in mice with exposure to high fat diet. Adipocyte. 2015;4:32–43.
Tran TT, Yamamoto Y, Gesta S, Kahn CR. Beneficial effects of subcutaneous fat transplantation on metabolism. Cell Metab. 2008;7:410–20.
Gibert-Ramos A, Palacios-Jordan H, Salvadó MJ, Crescenti A. Consumption of out-of-season orange modulates fat accumulation, morphology and gene expression in the adipose tissue of Fischer 344 rats. Eur J Nutr. 2020;59:621–31.
Ibars M, Aragonès G, Ardid-Ruiz A, Gibert-Ramos A, Arola-Arnal A, Suárez M, et al. Seasonal consumption of polyphenol-rich fruits affects the hypothalamic leptin signaling system in a photoperiod-dependent mode. Sci Rep. 2018;8:13572.
Pfaffl MW. A new mathematical model for relative quantification in real-time RT-PCR. Nucleic Acids Res. 2001;29:E45.
Pons Z, Margalef M, Bravo FI, Arola-Arnal A, Muguerza B. Chronic administration of grape-seed polyphenols attenuates the development of hypertension and improves other cardiometabolic risk factors associated with the metabolic syndrome in cafeteria diet-fed rats. Br J Nutr. 2017;117:200–8.
Serrano J, Casanova-Martí À, Gual A, Pérez-Vendrell AM, Blay MT, Terra X, et al. A specific dose of grape seed-derived proanthocyanidins to inhibit body weight gain limits food intake and increases energy expenditure in rats. Eur J Nutr. 2017;56:1629–36.
Longo M, Zatterale F, Naderi J, Parrillo L, Formisano P, Raciti GA, et al. Adipose tissue dysfunction as determinant of obesity-associated metabolic complications. Int J Mol Sci. 2019;20:2358.
Manolopoulos KN, Karpe F, Frayn KN. Gluteofemoral body fat as a determinant of metabolic health. Int J Obes. 2010;34:949–59.
Hamdy O, Porramatikul S, Al-Ozairi E. Metabolic obesity: the paradox between visceral and subcutaneous fat. Curr Diabetes Rev. 2006;2:367–73.
Medina EA, Afsari RR, Ravid T, Sianna Castillo S, Erickson KL, Goldkorn T. Tumor necrosis factor-α decreases Akt protein levels in 3T3-L1 adipocytes via the caspase-dependent ubiquitination of Akt. Endocrinology. 2005;146:2726–35.
Cermakian N, Lange T, Golombek D, Sarkar D, Nakao A, Shibata S, et al. Crosstalk between the circadian clock circuitry and the immune system. Chronobiol Int. 2013;30:870–88.
Gadacha W, Ben-attia M, Bonnefont-Rousselot D, Aouani E, Chanem-Boughanmi N, Touitou Y. Resveratrol opposite effects on rat tissue lipoperoxidation: pro-oxidant during day-time and antioxidant at night. Redox Rep. 2009;14:154–8.
Rull A, Camps J, Alonso-villaverde C, Joven J. Insulin resistance, inflammation, and obesity: role of monocyte chemoattractant protein-1 (or CCL2) in the regulation of metabolism. Mediators Inflamm. 2010;2010:326580.
Carrasco-benso MP, Rivero-gutierrez B, Lopez-Minguez J, Anzola A, Diez-Noguera A, Madrid JA, et al. Human adipose tissue expresses intrinsic circadian rhythm in insulin sensitivity. FASEB J. 2016;30:3117–23.
Takahashi M, Ozaki M, Miyashita M, Fukazawa M, Nakaoka T, Wakisaka T, et al. Effects of timing of acute catechin-rich green tea ingestion on postprandial glucose metabolism in healthy men. J Nutr Biochem. 2019;73:108221.
Montagut G, Onnockx S, Vaqué M, Bladé C, Blay M, Fernández-Larrea J, et al. Oligomers of grape-seed procyanidin extract activate the insulin receptor and key targets of the insulin signaling pathway differently from insulin. J Nutr Biochem. 2010;21:476–81.
Montagut G, Bladé C, Blay M, Fernández-Larea J, Pujadas G, Salvadó MJ, et al. Effects of a grapeseed procyanidin extract (GSPE) on insulin resistance. J Nutr Biochem. 2010;21:961–7.
Arola L, Salvado M. Hypolipidemic effects of proanthocyanidins and their underlying biochemical and molecular mechanisms. Mol Nutr Food Res. 2010;54:37–59.
Sandoval V, Sanz-Lamora H, Arias G, Marrero PF, Haro D, Relat J. Metabolic impact of flavonoids consumption in obesity: from central to peripheral. Nutrients. 2020;12:1–55.
Arner P, Bernard S, Appelsved L, Fu KY, Andersson DP, Salehpour M, et al. Adipose lipid turnover and long-term changes in body weight. Nat Med. 2019;25:1385–9.
Barclay JL, Shostak A, Leliavski A, Tsang AH, Jöhren O, Müller-Fielitz H, et al. High-fat diet-induced hyperinsulinemia and tissue-specific insulin resistance in Cry-deficient mice. Am J Physiol Endocrinol Metab. 2013;304:1053–63.
Kumar N, Solt LA, Wang Y, Rogers PM, Bhattacharyya G, Kamenecha TM, et al. Regulation of adipogenesis by natural and synthetic REV-ERB ligands. Endocrinology. 2010;151:3015–25.
Caimari A, Del Bas JM, Crescenti A, Arola L. Low doses of grape seed procyanidins reduce adiposity and improve the plasma lipid profile in hamsters. Int J Obes. 2013;37:576–83.
Pinent M, Bladé MC, Salvadó MJ, Arola L, Ardévol A. Intracellular mediators of procyanidin-induced lipolysis in 3T3-L1 adipocytes. J Agric Food Chem. 2005;53:262–6.
Acknowledgements
We gratefully acknowledge the aid of laboratory technicians Niurka Dariela Llópiz and Rosa Pastor from Universitat Rovira i Virgili.
Funding
This research was supported by a grant (AGL2013-40707-R and AGL2016-77105-R) from the Spanish government. MC-P received a pre-doctoral fellowship from the government of Catalonia (2021 FI_B2 00105). RMR and EN-M received a grant for Ph.D. students from the Universitat Rovira i Virgili (2018PMF-PIPF-11 and 2019PMF-PIPF-73, respectively). GA, MM, and FIB are Serra-Húnter fellows at the Universitat Rovira i Virgili.
Author information
Authors and Affiliations
Contributions
MC-P, MM, FIB, LA, and GA designed the research; MC-P and RMR performed the experiments and collected the data; MC-P, MM, FIB, LA, and GA analyzed the data and interpreted the results; MC-P, EN-M, and GA wrote the paper. All authors read and approved the final paper.
Corresponding author
Ethics declarations
Competing interests
The authors declare no competing interests.
Additional information
Publisher’s note Springer Nature remains neutral with regard to jurisdictional claims in published maps and institutional affiliations.
Supplementary information
Rights and permissions
About this article
Cite this article
Colom-Pellicer, M., Rodríguez, R.M., Navarro-Masip, È. et al. Time-of-day dependent effect of proanthocyanidins on adipose tissue metabolism in rats with diet-induced obesity. Int J Obes 46, 1394–1402 (2022). https://doi.org/10.1038/s41366-022-01132-0
Received:
Revised:
Accepted:
Published:
Version of record:
Issue date:
DOI: https://doi.org/10.1038/s41366-022-01132-0


