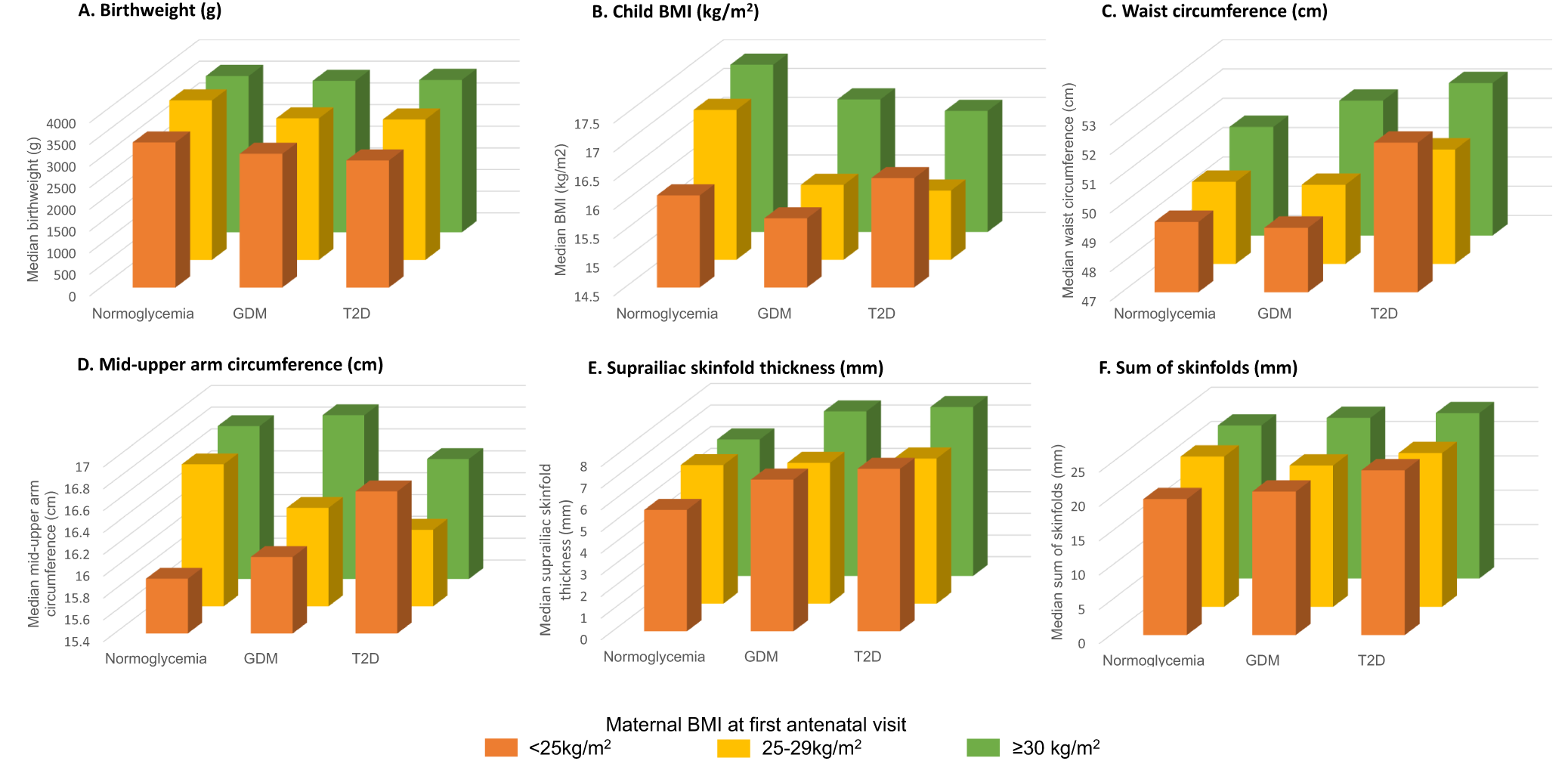
Fig. 3: Child anthropometric outcomes by maternal glycemic status in pregnancy and maternal body mass index (BMI) category.

a Birthweight (g). b Child BMI (kg/m2). c Waist circumference (cm). d Mid-upper arm circumference (cm). e Suprailiac skinfold (mm). f Sum of skinfolds (mm).