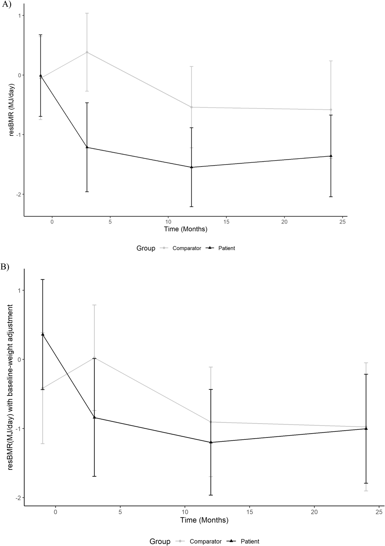
Fig. 3: Time trajectory plots of residual BMR (resBMR) or magnitude of metabolic adaptation for patient and comparator groups.
From: Metabolic adaptation following gastric bypass surgery: results from a 2-year observational study

Time trajectory plots of resBMR (A) and baseline-weight adjusted resBMR (B) for patient and comparator groups before and 3-, 12- and 24-months after Gastric Bypass Surgery. Errors represents the 95% confidence intervals of the estimated means based on the fitted linear mixed model. resBMR is defined as the difference between the observed BMR (as measured by indirect calorimetry) from the predicted BMR based on the linear regression equations. A Difference between groups: 1-month pre-surgery (p = 1.00), 3-months post-surgery (p = 0.014), 12-months post-surgery (p = 0.26) and 24-months post-surgery (p = 0.70). B Difference between groups:1-month pre-surgery (p = 0.84), 3-months post-surgery (p = 0.76), 12-months post-surgery (p = 1.0) and 24-months post-surgery (p = 1.0).