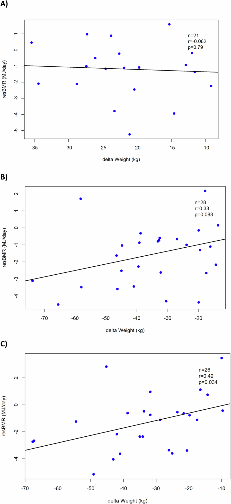
Fig. 4: Correlation plots between the extent of metabolic adaptation or residual BMR (resBMR) and changes in body weight in gastric bypass patients.
From: Metabolic adaptation following gastric bypass surgery: results from a 2-year observational study

Correlation plot between the extent of resBMR and changes in body weight in gastric bypass patients at A 3-, B 12- and C 24-months post-surgery. resBMR is defined as the difference between the observed BMR (as measured by indirect calorimetry) from the predicted BMR based on the linear regression equations.