Abstract
Background
A healthy low-fat (HLF) and healthy low-carbohydrate (HLC) diet are common strategies for weight loss that vary in their effects on adiposity and metabolism. Visceral adipose tissue (VAT) is the major contributor to metabolism deregulation, beyond subcutaneous adipose tissue (SAT). Despite strong biological evidence that a HLC diet preferentially decreases VAT, the difficulty measuring it has impeded diet trials. We estimated VAT and SAT in the Diet Intervention Examining The Factors Interacting with Treatment Success (DIETFITS) weight loss trial to compare the effects of HLF and HLC diets and effect modification by sex and insulin resistance.
Methods
In a 1-year weight loss trial, DIETFITS, we compared VAT loss between HLF and HLC diets by randomizing N = 609 adults to either diet. VAT was estimated using dual-energy x-ray absorptiometry at baseline, 6 months, and 12 months. Linear mixed models analyzed associations between diet and VAT. We built separate models to evaluate effect modification by sex and insulin resistance.
Results
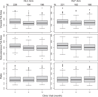
Among 449 participants (60% women; mean age 39 years), VAT loss was significantly greater for those eating the HLC diet compared to the HLF diet at 6 months [10.6 cm2; 95% confidence interval (CI): 5,16.2] and 12 months (6.3 cm2; 95% CI: 0.6,12). VAT relative to SAT loss estimates were greater in the HLC diet at 6 months only. Men experienced greater HLC diet-induced VAT loss than did women. Insulin secretion status did not modify VAT loss.
Conclusions
The HLC diet was associated with greater VAT loss compared to the HLF diet over 12 months. The loss of metabolically harmful VAT was independent from SAT over 6 months. Direct estimation of adipose sub-types provides strong evidence that insulin resistance does not modulate diet response. Sex differences should be considered in effective dietary interventions targeting VAT reduction and metabolic health.
This is a preview of subscription content, access via your institution
Access options
Subscribe to this journal
Receive 12 print issues and online access
$259.00 per year
only $21.58 per issue
Buy this article
- Purchase on SpringerLink
- Instant access to the full article PDF.
USD 39.95
Prices may be subject to local taxes which are calculated during checkout


Similar content being viewed by others
Data availability
The data that support the findings of this study are available from the senior author, CDG, upon reasonable request.
References
Landry MJ, Crimarco A, Gardner CD. Benefits of low carbohydrate diets: a settled question or still controversial? Curr Obes Rep. 2021;10:409–22.
Gardner CD, Trepanowski JF, Gobbo LCD, Hauser ME, Rigdon J, Ioannidis JPA, et al. Effect of low-fat VS low-carbohydrate diet on 12-month weight loss in overweight adults and the association with genotype pattern or insulin secretion, the DIETFITS randomized clinical trial. J Am Med Assoc. 2018;319:667–79.
Landry MJ, Ward CP, Cunanan KM, Fielding-Singh P, Crimarco A, Gardner CD. Switching diets after 6-months does not result in renewed weight loss: a secondary analysis of a 12-month crossover randomized trial. Sci Rep. 2024;14:9865. Apr 29.
Neeland IJ, Ross R, Després JP, Matsuzawa Y, Yamashita S, Shai I, et al. Visceral and ectopic fat, atherosclerosis, and cardiometabolic disease: a position statement. Lancet Diabetes Endocrinol. 2019;7:715–25.
Wajchenburg BL. Subcutaneous and visceral adipose tissue: their relation to the metabolic syndrome. Endocr Rev. 2000;21:697–738.
Ludwig DS, Aronne LJ, Astrup A, de Cabo R, Cantley LC, Friedman MI, et al. The carbohydrate-insulin model: a physiological perspective on the obesity pandemic. Am J Clin Nutr. 2021;114:1873–85.
Goss AM, Gower B, Soleymani T, Stewart M, Pendergrass M, Lockhart M, et al. Effects of weight loss during a very low carbohydrate diet on specific adipose tissue depots and insulin sensitivity in older adults with obesity: a randomized clinical trial. Nutr Metab. 2020;17:64.
Chaston TB, Dixon JB. Factors associated with percent change in visceral versus subcutaneous abdominal fat during weight loss: findings from a systematic review. Int J Obes. 2008;32:619–28.
Garr Barry V, Stewart M, Soleymani T, Desmond RA, Goss AM, Gower BA. Greater loss of central adiposity from low-carbohydrate versus low-fat diet in middle-aged adults with overweight and obesity. Nutrients. 2021;13:475.
Aronica L, Rigdon J, Offringa LC, Stefanick ML, Gardner CD. Examining differences between overweight women and men in 12-month weight loss study comparing healthy low-carbohydrate vs. low-fat diets. Int J Obes. 2021;45:225–34.
Bea JW, Chen Z, Blew RM, Nicholas JS, Follis S, Bland VL et al. MRI-based validation of abdominal adipose tissue measurements from DXA in postmenopausal women. J Clin Densitom. 2021;S1094695021000640.
Schielzeth H, Dingemanse NJ, Nakagawa S, Westneat DF, Allegue H, Teplitsky C, et al. Robustness of linear mixed-effects models to violations of distributional assumptions. Sutherland C, editor. Methods Ecol Evol. 2020;11:1141–52.
Wachsmuth NB, Aberer F, Haupt S, Schierbauer JR, Zimmer RT, Eckstein ML, et al. The impact of a high-carbohydrate/low fat vs. low-carbohydrate diet on performance and body composition in physically active adults: a cross-over controlled trial. Nutrients. 2022;14:423.
Fischer K, Pick JA, Moewes D, Nöthlings U. Qualitative aspects of diet affecting visceral and subcutaneous abdominal adipose tissue: a systematic review of observational and controlled intervention studies. Nutr Rev. 2015;73:191–215.
Allison DB, Paultre F, Goran MI, Poehlman ET, Heymsfield SB. Statistical considerations regarding the use of ratios to adjust data. Int J Obes Relat Metab Disord. 1995;19:644–52.
Frank AP, De Souza Santos R, Palmer BF, Clegg DJ. Determinants of body fat distribution in humans may provide insight about obesity-related health risks. J Lipid Res. 2019;60:1710–9.
Sasakabe T, Haimoto H, Umegaki H, Wakai K. Association of decrease in carbohydrate intake with reduction in abdominal fat during 3-month moderate low-carbohydrate diet among non-obese Japanese patients with type 2 diabetes. Metabolism. 2015;64:618–25.
Li X, Perelman D, Leong AK, Fragiadakis G, Gardner CD, Snyder MP. Distinct factors associated with short-term and long-term weight loss induced by low-fat or low-carbohydrate diet intervention. Cell Rep Med. 2022;3:100870.
Acknowledgements
The authors would like to acknowledge the Gardner research team from the parent DIETFITS study. We thank Kyla Kent and Vincent Busque, who contributed to the re-analysis of the DXA scans and Christopher Dant for his editorial review. We also thank the study participants for contributing their time and effort to this study. This research was supported by grant K99HL169908 (Follis) from the National Heart, Lung, and Blood Institute.
Author information
Authors and Affiliations
Contributions
SF and CDG contributed to the conception; acquisition, analysis, interpretation, drafting; KMC contributed to the analysis, interpretation, drafting; MJL, MLS, and CPW contributed to the interpretation and drafting.
Corresponding author
Ethics declarations
Competing interests
The authors declare no competing interests.
Additional information
Publisher’s note Springer Nature remains neutral with regard to jurisdictional claims in published maps and institutional affiliations.
Supplementary information
Rights and permissions
Springer Nature or its licensor (e.g. a society or other partner) holds exclusive rights to this article under a publishing agreement with the author(s) or other rightsholder(s); author self-archiving of the accepted manuscript version of this article is solely governed by the terms of such publishing agreement and applicable law.
About this article
Cite this article
Follis, S., Landry, M.J., Cunanan, K.M. et al. Effect of low-carbohydrate vs low-fat diet intervention on visceral fat estimated from dual energy X-ray absorptiometry in a 12-month randomized controlled trial. Int J Obes 50, 640–646 (2026). https://doi.org/10.1038/s41366-025-01989-x
Received:
Revised:
Accepted:
Published:
Version of record:
Issue date:
DOI: https://doi.org/10.1038/s41366-025-01989-x


