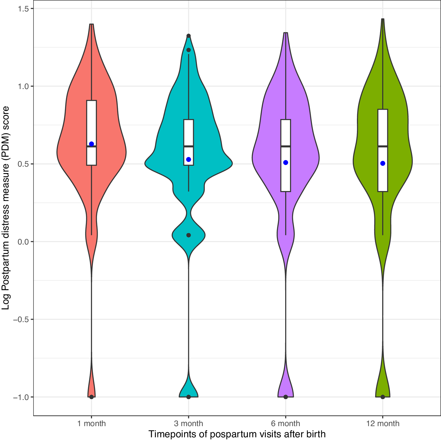
Fig. 1: The distribution of log (PDM) scores at 1 month, 3 months, 6 months, and 12 months postpartum with violin plots and boxplots.

The mean of log(PDM) scores at each time point are shown as blue dots.

The mean of log(PDM) scores at each time point are shown as blue dots.