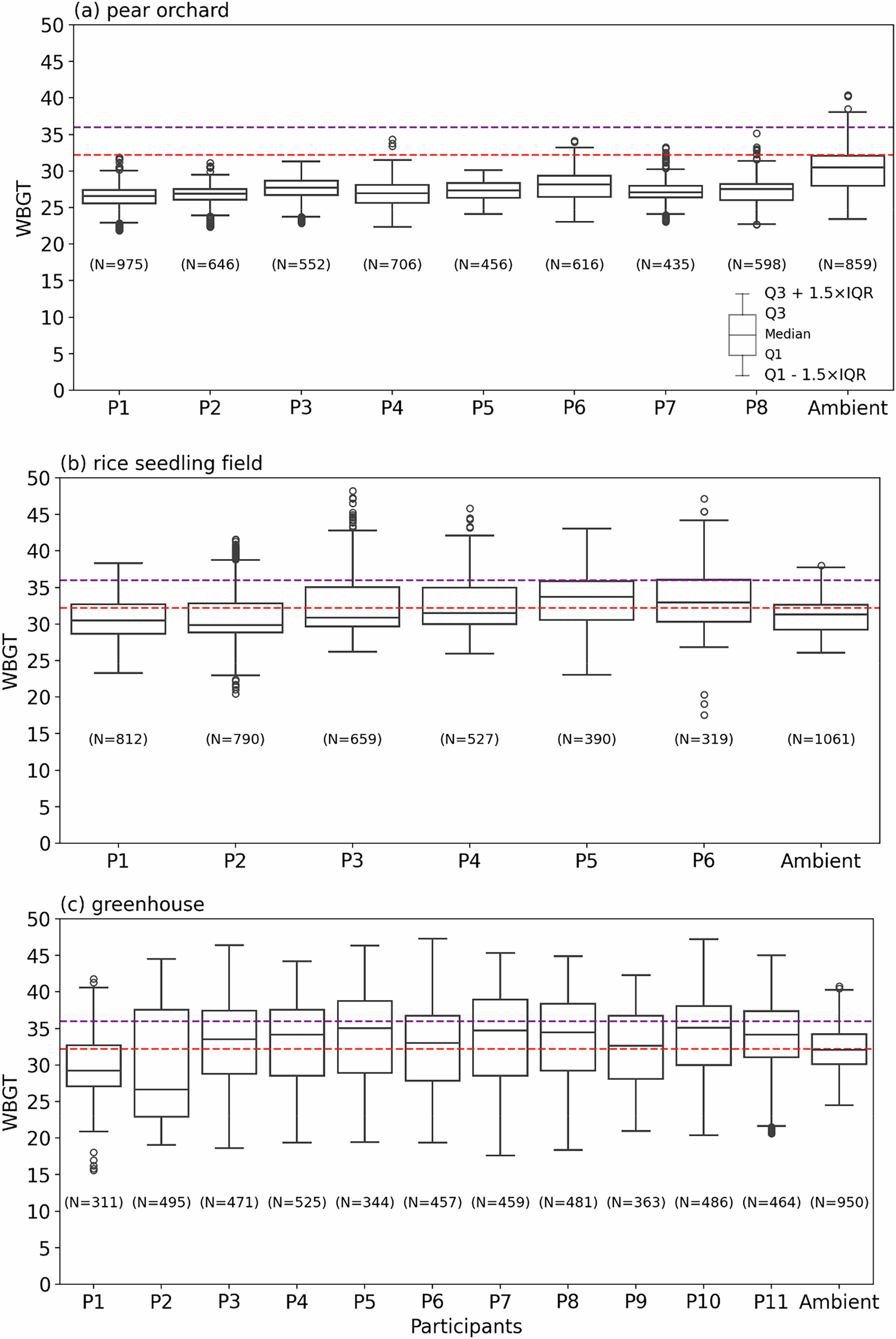
Fig. 2

Personal WBGT exposure (°C, 5-min average) of individual participants during working hours in the (a) pear orchard community, (b) rice seedling field, and (c) greenhouse farm; the rightmost panels are ambient WBGT levels obtained from the fixed-location monitoring. P denotes each participant; N: sample size; Q quartile, IQR interquartile range.