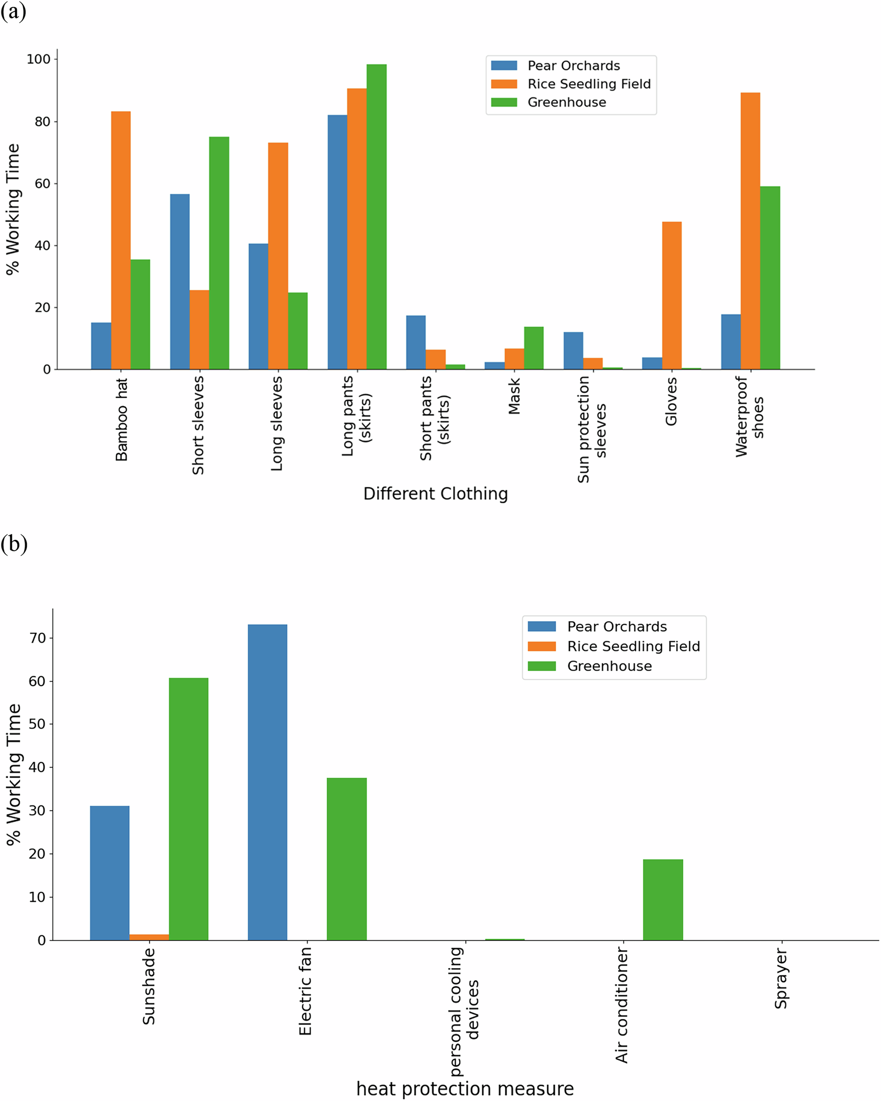
Fig. 3

Percentage of total working time using (a) different clothing and (b) different heat protection measures among the 25 participants; 8, 6, and 11 were from the pear orchard community, rice seedling field, and greenhouse farm, respectively.

Percentage of total working time using (a) different clothing and (b) different heat protection measures among the 25 participants; 8, 6, and 11 were from the pear orchard community, rice seedling field, and greenhouse farm, respectively.