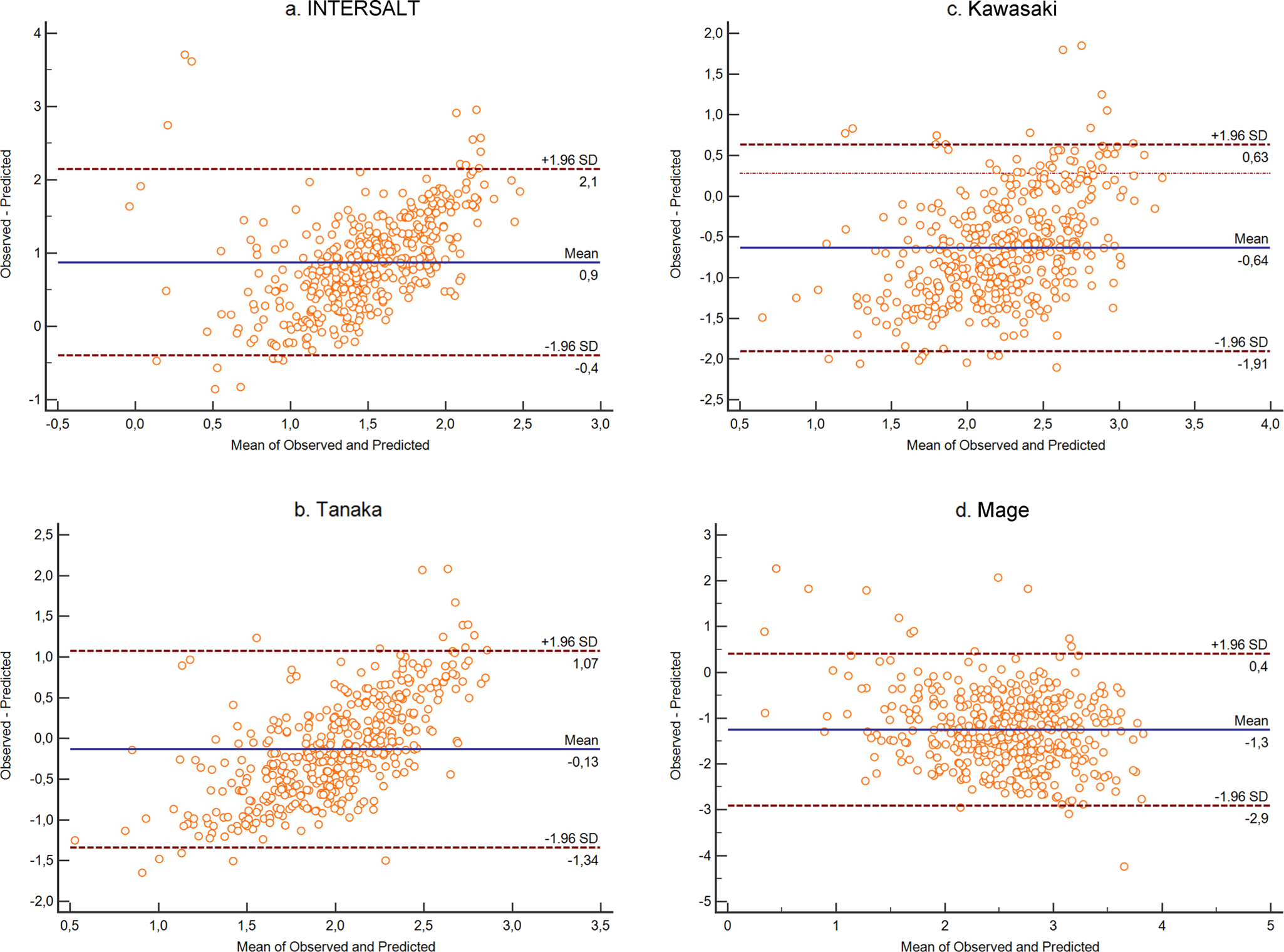
Fig. 1

Bland–Altman plots of log measured vs log predicted 24 h urinary sodium (mg/day). a INTERSALT equation. b Tanaka equation. b Kawasaki equation. d Mage equation

Bland–Altman plots of log measured vs log predicted 24 h urinary sodium (mg/day). a INTERSALT equation. b Tanaka equation. b Kawasaki equation. d Mage equation