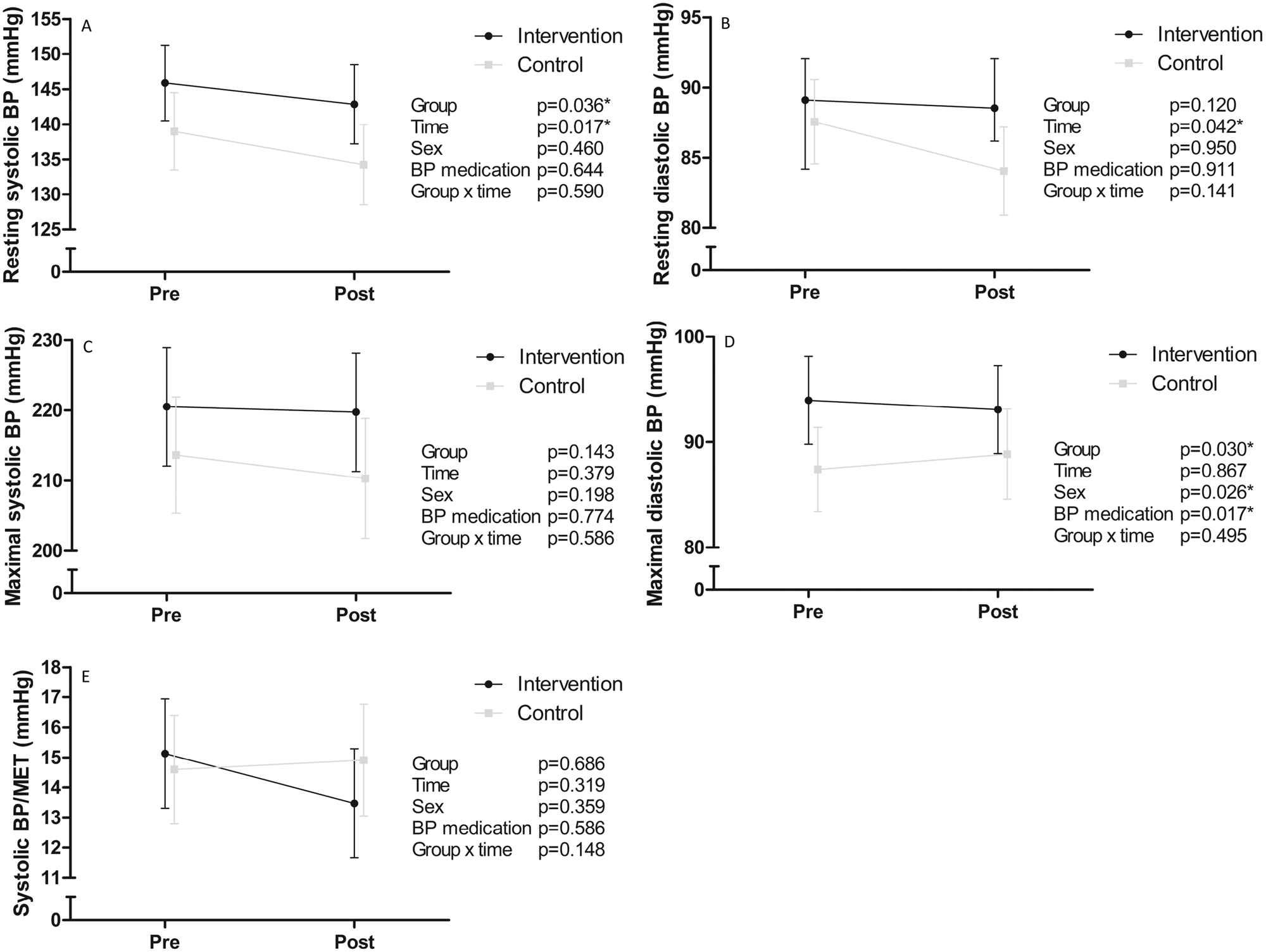
Fig. 1: Intervention effects on blood pressure.

Systolic (A) and diastolic (B) blood pressure at rest, maximal systolic (C) and diastolic (D) blood pressure during exercise testing, and systolic blood pressure increase per one metabolic equivalent of task during exercise testing (E) in the intervention (black dots) and control (grey squares) groups before (pre) and after (post) the intervention. Estimates are model-based least squares means and error bars represent 95% confidence intervals. BP blood pressure, MET metabolic equivalent of task. *p < 0.05.