Abstract
The conventional assessment of the relationship between arterial hypertension (AH) and cardiovascular damage has predominantly relied on office measurements. However, the diagnostic significance of ambulatory and home measurements has gained prominence, particularly in identifying distinct AH phenotypes like masked hypertension (MH), characterized by normal office values but elevated readings outside the clinical setting, carrying comparable risks to sustained AH. Current guidelines advocate for Ambulatory Blood Pressure Monitoring (ABPM) in individuals with office values exceeding 130/85 mmHg. This study aims to develop a clinical prediction model to identify masked hypertension in individuals with normal office blood pressure and to create a clinical score.
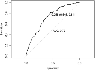
A cross-sectional study was conducted in a secondary level hospital, including patients aged 18–85 years with average office blood pressure <140/90 mmHg who underwent a valid ABPM on the same day. Pregnant and postpartum women were excluded. A multivariable logistic regression model with calibration, discrimination, and stability parameters was applied to predict masked hypertension. 506 individuals with valid ABPM were analysed. The prevalence of masked hypertension was 30.8%. The selected variables were: diastolic blood pressure, pulse pressure, waist diameter and sex. The model calibrated adequately (Hosmer-Lemeshow test p = 0.35), with an AUC of 0.72 (95% CI, 0.67–0.77). Significant differences existed between the traditional and the new models (p < 0.001). A user-friendly clinical model was developed, with a clinical score achieving 90% specificity using an estimated probability of 0.4 with a 10-point score.
A novel model, performed with easily collectable clinical variables, showed robust calibration, stability, and discrimination. It outperforms sole reliance on office blood pressure, exhibiting high specificity (~90%) for masked hypertension detection. Its internal validity suggests a potential for enhanced masked hypertension identification.

This is a preview of subscription content, access via your institution
Access options
Subscribe to this journal
Receive 12 digital issues and online access to articles
$119.00 per year
only $9.92 per issue
Buy this article
- Purchase on SpringerLink
- Instant access to the full article PDF.
USD 39.95
Prices may be subject to local taxes which are calculated during checkout




Similar content being viewed by others
Data availability
Additional data are available from the corresponding author on reasonable request.
References
Cesario V, Presta V, Figliuzzi I, Citoni B, Battistoni A, Miceli F, et al. Epidemiological impact and clinical consequences of masked hypertension: a narrative review. High Blood Press Cardiovasc Prev. 2020;27:195–201. https://doi.org/10.1007/s40292-020-00382-1.
Mancia G, Bombelli M, Facchetti R, Madotto F, Quarti-Trevano F, Polo Friz H, et al. Long-term risk of sustained hypertension in white-coat or masked hypertension. Hypertension. 2009;54:226–32. https://doi.org/10.1161/HYPERTENSIONAHA.109.129882.
Mancia G, Kreutz R, Brunström M, Burnier M, Grassi G, Januszewicz A, et al. 2023 ESH guidelines for the management of arterial hypertension The Task Force for the management of arterial hypertension of the European Society of Hypertension: endorsed by the International Society of Hypertension (ISH) and the European renal association (ERA). J Hypertens. 2023;41:1874–2071. https://doi.org/10.1097/HJH.0000000000003480.
Unger T, Borghi C, Charchar F, Khan NA, Poulter NR, Prabhakaran D, et al. 2020 International Society of Hypertension global hypertension practice guidelines. Hypertension. 2020;75:1334–57. https://doi.org/10.1161/HYPERTENSIONAHA.120.15026.
Pierdomenico SD, Pierdomenico AM, Coccina F, Clement DL, De Buyzere ML, De Bacquer DA, et al. Prognostic value of masked uncontrolled hypertension. Hypertension. 2018;72:862–9. https://doi.org/10.1161/HYPERTENSIONAHA.118.11499.
Salazar MR, Espeche WG, Balbín E, Leiva Sisnieguez CE, Minetto J, Leiva Sisnieguez BC, et al. Prevalence of isolated nocturnal hypertension according to 2018 European Society of Cardiology and European Society of Hypertension office blood pressure categories. J Hypertens. 2020;38:434–40. https://doi.org/10.1097/HJH.0000000000002278.
Sullivan LM, Massaro JM, D’Agostino Sr RB. Presentation of multivariate data for clinical use: the Framingham Study risk score functions. Stat Med. 2004;23:1631–60. https://doi.org/10.1002/sim.1742.
Booth JN 3rd, Muntner P, Diaz KM, Viera AJ, Bello NA, et al. Evaluation of criteria to detect masked hypertension. J Clin Hypertens. 2016;18:1086–94. https://doi.org/10.1111/jch.12830.
Hung MH, Shih LC, Wang YC, Leu HB, Huang PH, Wu TC, et al. Prediction of masked hypertension and masked uncontrolled hypertension using machine learning. Front Cardiovasc Med. 2021;8:778306. https://doi.org/10.3389/fcvm.2021.778306.
Coccina F, Borrelli P, Pierdomenico AM, Pizzicannella J, Guagnano MT, Cuccurullo C, et al. Prediction of masked uncontrolled hypertension detected by ambulatory blood pressure monitoring. Diagnostics. 2022;12:3156. https://doi.org/10.3390/diagnostics12123156.
Alves MAM, Feitosa ADM, Mota-Gomes MA, Paiva AMG, Barroso WS, Miranda RD, et al. Accuracy of screening strategies for masked hypertension: a large-scale nationwide study based on home blood pressure monitoring. Hypertens Res. 2023;46:742–50. https://doi.org/10.1038/s41440-022-01103-y.
Stergiou GS, Kyriakoulis KG, McManus RJ, Andreadis EA, Jula A, Kollias A, et al. Phenotypes of masked hypertension: isolated ambulatory, isolated home and dual masked hypertension. J Hypertens. 2020;38:218–23.
Ministerio de Salud. 4ta Encuesta Nacional Factores de riesgo cardiovascular 2019. Disponible en: https://bancos.salud.gob.ar/sites/default/files/2020-01/4ta-encuesta-nacional-factores-riesgo_2019_principales-resultados.pdf.
Cuspidi C, Sala C, Tadic M, Rescaldani M, Grassi G, Mancia G. Untreated masked hypertension and subclinical cardiac damage: a systematic review and meta-analysis. Am J Hypertens. 2015;28:806–13.
Acknowledgements
To the nurses of our unit, Lic. Irma Eugenio Acero, Lic. Jorge Osvaldo Belaunzaran, Marina Celeste Rios, and our secretary Pablo Scheyola. Fermin Minetto who is working on an application for using the model. Trinidad Cerri for the revision of the adaptation to English.
Author information
Authors and Affiliations
Contributions
Minetto J: design, execution, writing, statistics, final manuscript review. Espeche Walter: design, execution, writing, statistical review of final manuscript. Cerri G: execution, patient care, manuscript review. Perez Duhalde JI execution, patient care, manuscript review. Leiva Sisnieguez CE: final review and statistics. Olano D: Final review and statistics. Salazar MR : design, final review and statistics.
Corresponding author
Ethics declarations
Competing interests
The authors declare no competing interests.
Ethics
All methods were conducted in accordance with relevant guidelines and regulations, in adherence to the Declaration of Helsinki. Ethical approval for this study was obtained from the designated ethics committee (Protocol No.: HSMLP2024/0121). Informed consent was obtained from all participants prior to their inclusion in the study.
Additional information
Publisher’s note Springer Nature remains neutral with regard to jurisdictional claims in published maps and institutional affiliations.
Supplementary information
Rights and permissions
Springer Nature or its licensor (e.g. a society or other partner) holds exclusive rights to this article under a publishing agreement with the author(s) or other rightsholder(s); author self-archiving of the accepted manuscript version of this article is solely governed by the terms of such publishing agreement and applicable law.
About this article
Cite this article
Minetto, J., Espeche, W., Leiva Sisnieguez, C.E. et al. “Clinical prediction model for masked hypertension diagnosed by 24-h ambulatory blood pressure measurements in a sample from specialized hospital.”. J Hum Hypertens 39, 199–204 (2025). https://doi.org/10.1038/s41371-024-00980-9
Received:
Revised:
Accepted:
Published:
Version of record:
Issue date:
DOI: https://doi.org/10.1038/s41371-024-00980-9
This article is cited by
-
Can we detect masked hypertension and masked uncontrolled hypertension using simple metrics? A novel clinical model for latino population
Journal of Human Hypertension (2025)
-
Detection of masked hypertension in patients with metabolic-dysfunction associated steatotic liver disease using a novel clinical risk model
Journal of Human Hypertension (2025)


