Abstract
Objective
To develop a predictive model for early-onset neonatal sepsis or death among infants born at less than 32 weeks of gestation.
Study design
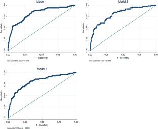
This was a case-control study of all deliveries <32 weeks between 2011 and 2015 in a single tertiary care center. Cases were defined as neonates diagnosed with early-onset sepsis based on a blood or cerebrospinal fluid culture or neonates who expired during the first week of life. Controls consisted of neonates without these outcomes. Variables previously identified to be associated with neonatal sepsis or death were abstracted from the medical record. Bivariable analyses and multivariable logistic regression were used to determine independent risk factors for early-onset neonatal sepsis or death. An ROC curve was created and AUC calculated to estimate the predictive capacity of these associations.
Results
Of 779 eligible neonates, early-onset neonatal sepsis or death occurred in 73 (9.4%). In bivariable analyses, mothers whose neonates were diagnosed with early-onset sepsis or death were more likely to be obese, have an intrapartum fever, and have meconium-stained amniotic fluid, and were less likely to have received betamethasone or antepartum/intrapartum antibiotics. Gestational age at delivery and birth weight was significantly lower among neonates diagnosed with neonatal sepsis or death. In multivariable analyses, factors remaining independently associated with neonatal sepsis or death were earlier gestational age at the time of delivery (specifically <28 weeks), intrapartum fever, presence of meconium-stained amniotic fluid, and lower birth weight. The AUC for this regression was 0.81 (95% confidence interval 0.77–0.83).
Conclusion
Earlier gestational age at the time of delivery, intrapartum fever, meconium, and lower birth weight are independently associated with early-onset neonatal sepsis or death among deliveries occurring at <32 weeks of gestation; these factors can be used to create a model with fair predictive capability.
This is a preview of subscription content, access via your institution
Access options
Subscribe to this journal
Receive 12 print issues and online access
$259.00 per year
only $21.58 per issue
Buy this article
- Purchase on SpringerLink
- Instant access to the full article PDF.
USD 39.95
Prices may be subject to local taxes which are calculated during checkout

Similar content being viewed by others
References
Wynn JL, Wong HR, Shanley TP, Bizzarro MJ, Saiman L, Polin RA. Time for a neonatal-specific consensus definition for sepsis. Pediatr Crit Care Med. 2014;15:523–28.
Stoll BJ, Hansen NI, Sanchez PJ, Faix RG, Poindexter BB, Van Meurs KP, et al. Early onset neonatal sepsis: the burden of group B Streptococcal and E. coli disease continues. Pediatrics. 2011;127:817–26.
Schrag SJ, Farley MM, Petit S, Reingold A, Weston EJ, Pondo T, et al. Epidemiology of Invasive Early-Onset Neonatal Sepsis, 2005 to 2014. Pediatrics. 2016;138:e20162013.
Sgro M, Shah PS, Campbell D, Tenuta A, Shivananda S, Lee SK. Early-onset neonatal sepsis: rate and organism pattern between 2003 and 2008 Canadian Neonatal Network. J Perinatol. 2011;31:794–8.
Stoll BJ, Hansen NI, Bell EF, Walsh MC, Carlo WA, Shankaran S, et al. Trends in care practices, morbidity, and mortality of extremely preterm neonates, 1993-2012. J. Am. Med. Assoc. 2015;314:1039–51.
Lawn JE, Wilczynska-Ketende K, Cousens SN. Estimating the causes of 4 million neonatal deaths in the year 2000. Int J Epidemiol. 2006;35:706–18.
Stoll BJ, Hansen N. Infections in VLBW infants: studies from the NICHD Neonatal Research Network. Semin Perinatol. 2003;27:293–301.
Stoll BJ, Hansen N, Fanaroff AA, Wright LL, Carlo WA, Ehrenkranz RA, et al. Late-onset sepsis in very low birth weight neonates: the experience of the NICHD Neonatal Research Network. Pediatrics. 2002;110:285–91.
Shane AL, Sánchez PJ, Stoll BJ. Neonatal sepsis. Lancet. 2017;390:1770–80.
Soman M, Green B, Daling J. Risk factors for early neonatal sepsis. Am J Epidemiol. 1985;121:712–9.
Yancey MK, Duff P, Kubilis P, Clark P, Frentzen BH. Risk factors for neonatal sepsis. Obstet Gynecol. 1996;87:188–94.
Schuchat A, Zywicki SS, Dinsmoor MJ, Mercer B, Romaguera J, O’Sullivan MJ, et al. Risk factors and opportunities for prevention of early-onset neonatal sepsis: a multicenter case-control study. Pediatrics. 2000;105:21–6.
Herbst A, Källén K. Time between membrane rupture and delivery and septicemia in term neonates. Obstet Gynecol. 2007;110:612–8.
Singh SA, Dutta S, Narang A. Predictive clinical scores for diagnosis of late onset neonatal septicemia. J Trop Pediatr. 2003;49:235–9.
Okascharoen C, Sirinavin S, Thakkinstian A, Kitayaporn D, Supapanachart S. A bedside prediction-scoring model for late-onset neonatal sepsis. J Perinatol. 2005;25:778–83.
Kudawla M, Dutta S, Narang A. Validation of a clinical score for the diagnosis of late onset neonatal septicemia in babies weighing 1000–2500 g. J Trop Pediatr. 2008;54:66–9.
Puopolo KM, Draper D, Wi S, Newman TB, Zupancic J, Lieberman E, et al. Estimating the probability of neonatal early-onset infection on the basis of maternal risk factors. Pediatrics. 2011;128:e1155–63.
Escobar GJ, Puopolo KM, Wi S, Turk BJ, Kuzniewicz MW, Walsh EM, et al. Stratification of risk of early-onset sepsis in newborns ≥34 weeks’ gestation. Pediatrics. 2014;133:30–6.
Hanley JA, McNeil BJ. The meaning and use of the area under a receiver operating characteristic (ROC) curve. Radiology. 1982;143:29–36.
McNeil BJ, Hanley JA. Statistical approaches to the analysis of receiver operating characteristic (ROC) curves. Med Decis Mak. 1984;4:137–50.
Collins A, Weitkamp JH, Wynn JL. Why are preterm newborns at increased risk of infection? Arch Dis Child Fetal Neonatal Ed. 2018;103:F391–4.
Polin RA, Denson S, Brady MT. Epidemiology and diagnosis of health care-associated infections in the NICU. Pediatrics. 2012;129:e1104–9.
Sohn AH, Garrett DO, Sinkowitz-Cochran RL, Grohskopf LA, Levine GL, Stover BH, et al. Prevalence of nosocomial infections in neonatal intensive care unit patients: results from the first national point-prevalence survey. J Pediatr. 2001;139:821–7.
Zea-Vera A, Ochoa TJ. Challenges in the diagnosis and management of neonatal sepsis. J Trop Pediatr. 2015;61:1–13.
Verstraete EH, Blot K, Mahieu L, Vogelaers D, Blot S. Prediction models for neonatal health care-associated sepsis: a meta-analysis. Pediatrics. 2015;135:e1002–14.
Kimberlin DW, American Academy of Pediatrics. Group B streptococcal infections. In: Red Book: 2015 Report of the Committee on Infectious Diseases, 30th ed., American Academy of Pediatrics, 2015. p. 745.
Popowski T, Goffinet F, Maillard F, Schmitz T, Leroy S, Kayem G. Maternal markers for detecting early-onset neonatal infection and chorioamnionitis in cases of premature rupture of membranes at or after 34 weeks of gestation: a two-center prospective study. BMC Pregnancy Childbirth. 2011;11:26.
Hedegaard SS, Wisborg K, Hvas AM. Diagnostic utility of biomarkers for neonatal sepsis - a systematic review. Infect Dis . 2015;47:117–24.
Bekhof J, Reitsma JB, Kok JH, Van Straaten IH. Clinical signs to identify late-onset sepsis in preterm infants. Eur J Pediatr. 2013;172:501–8.
Ohlin A, Björkqvist M, Montgomery SM, Schollin J. Clinical signs and CRP values associated with blood culture results in neonates evaluated for suspected sepsis. Acta Paediatr. 2010;99:1635–40.
Financial disclosures
None.
Author information
Authors and Affiliations
Corresponding author
Ethics declarations
Conflict of interest
The authors declare that they have no conflict of interest.
Additional information
Publisher’s note: Springer Nature remains neutral with regard to jurisdictional claims in published maps and institutional affiliations.
Each author has indicated that he/she has met the journal’s requirements for authorship.
Presentation: This study was a poster presentation at the 64th annual meeting of the Society for Reproductive Investigation, March 15–18, Orlando, Florida, 2017.
Rights and permissions
About this article
Cite this article
Palatnik, A., Liu, L.Y., Lee, A. et al. Predictors of early-onset neonatal sepsis or death among newborns born at <32 weeks of gestation. J Perinatol 39, 949–955 (2019). https://doi.org/10.1038/s41372-019-0395-9
Received:
Revised:
Accepted:
Published:
Version of record:
Issue date:
DOI: https://doi.org/10.1038/s41372-019-0395-9
This article is cited by
-
Risk factors for death caused by early onset sepsis in neonates: a retrospective cohort study
BMC Infectious Diseases (2023)
-
Early-onset neonatal sepsis and antibiotic use in Indonesia: a descriptive, cross-sectional study
BMC Public Health (2022)
-
The association between preeclampsia and ICD diagnosis of neonatal sepsis
Journal of Perinatology (2021)


