Abstract
Introduction
Pulmonary hypertension (PH) is a common comorbidity of cardiopulmonary disease. Endostatin, an inhibitor of angiogenesis, is elevated in neonates with lung disease. ST2 is a heart failure biomarker correlated with PH in adults. We hypothesized that these biomarkers may be useful in diagnosing PH and categorizing its severity in infants.
Methods
Endostatin, ST2, and NT-proBNP plasma concentrations from 26 infants with PH and 21 control infants without PH were correlated with echocardiographic and clinical features using regression models over time.
Results
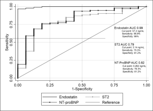
Endostatin, ST2, and NT-proBNP concentrations were elevated in PH participants versus controls (p < 0.0001). Endostatin was associated with right ventricular dysfunction (p = 0.014), septal flattening (p = 0.047), and pericardial effusion (p < 0.0001). ST2 concentrations predicted right to left patent ductus arteriosus flow (p = 0.009). NT-proBNP was not associated with PH features.
Conclusions
Endostatin and ST2 concentrations were associated with echocardiographic markers of worse PH in infants and may be better predictors than existing clinical standards.
This is a preview of subscription content, access via your institution
Access options
Subscribe to this journal
Receive 12 print issues and online access
$259.00 per year
only $21.58 per issue
Buy this article
- Purchase on SpringerLink
- Instant access to the full article PDF.
USD 39.95
Prices may be subject to local taxes which are calculated during checkout



Similar content being viewed by others
Change history
08 February 2021
A Correction to this paper has been published: https://doi.org/10.1038/s41372-020-0700-7
References
Khemani E, McElhinney DB, Rhein L, Andrade O, Lacro RV, Thomas KC, et al. Pulmonary artery hypertension in formerly premature infants with bronchopulmonary dysplasia: clinical features and outcomes in the surfactant era. Pediatrics. 2007;120:1260–9.
Rosenzweig EB, Abman SH, Adatia I, Beghetti M, Bonnet D, Haworth S, et al. Paediatric pulmonary arterial hypertension: updates on definition, classification, diagnostics and management. Eur Respir J. 2019;53:1–18.
Warburton D. Overview of lung development in the newborn human. Neonatology. 2017;111:398–401.
Kulik TJ, Austin ED. Pulmonary hypertension’s variegated landscape: a snapshot. Pulm Circ. 2017;7:67–81.
Mourani PM, Sontag MK, Younoszai A, Ivy DD, Abman SH. Clinical utility of echocardiography for the diagnosis and management of pulmonary vascular disease in young children with chronic lung disease. Pediatrics. 2008;121:317–25.
Ten Kate CA, Tibboel D, Kraemer US. B-type natriuretic peptide as a parameter for pulmonary hypertension in children. A systematic review. Eur J Pediatr. 2015;174:1267–75.
Behere S, Alapati D, McCulloch MA. Screening echocardiography and brain natriuretic peptide levels predict late pulmonary hypertension in infants with bronchopulmonary dysplasia. Pediatr Cardiol. 2019;40:973–9.
Janer J, Andersson S, Haglund C, Lassus P. Pulmonary endostatin perinatally and in lung injury of the newborn infant. Pediatrics. 2007;119:e241–6.
Kim DH, Kim HS. Serial changes of serum endostatin and angiopoietin-1 levels in preterm infants with severe bronchopulmonary dysplasia and subsequent pulmonary artery hypertension. Neonatology. 2014;106:55–61.
Damico R, Kolb TM, Valera L, Wang L, Housten T, Tedford RJ, et al. Serum endostatin is a genetically determined predictor of survival in pulmonary arterial hypertension. Am J Respir Crit Care Med. 2015;191:208–18.
Pascual-Figal DA, Garrido IP, Blanco R, Minguela A, Lax A, Ordonez-Llanos J, et al. Soluble ST2 is a marker for acute cardiac allograft rejection. Ann Thorac Surg. 2011;92:2118–24.
Pascual-Figal DA, Januzzi JL. The biology of ST2: the international ST2 consensus panel. Am J Cardiol. 2015;115 7 Suppl:3b–7b.
Chida A, Sato H, Shintani M, Nakayama T, Kawamura Y, Furutani Y, et al. Soluble ST2 and N-terminal pro-brain natriuretic peptide combination. Circulation J. 2014;78:436–42.
Folkman J. Antiangiogenesis in cancer therapy-endostatin and its mechanisms of action. Exp Cell Res. 2006;312:594–607.
Seppinen L, Pihlajaniemi T. The multiple functions of collagen XVIII in development and disease. Matrix Biol. 2011;30:83–92.
Janer J, Andersson S, Kajantie E, Lassus P. Endostatin concentration in cord plasma predicts the development of bronchopulmonary dysplasia in very low birth weight infants. Pediatrics. 2009;123:1142–6.
Richter AG, McKeown S, Rathinam S, Harper L, Rajesh P, McAuley DF, et al. Soluble endostatin is a novel inhibitor of epithelial repair in idiopathic pulmonary fibrosis. Thorax. 2009;64:156–61.
Liu J, Wang W, Wang L, Chen S, Tian B, Huang K, et al. IL-33 initiates vascular remodelling in hypoxic pulmonary hypertension by up-regulating HIF-1alpha and VEGF expression in vascular endothelial cells. EBioMedicine 2018;33:196–210.
Shah RV, Chen-Tournoux AA, Picard MH, van Kimmenade RR, Januzzi JL. Serum levels of the interleukin-1 receptor family member ST2, cardiac structure and function, and long-term mortality in patients with acute dyspnea. Circ Heart Fail. 2009;2:311–9.
Meeusen JW, Johnson JN, Gray A, Wendt P, Jefferies JL, Jaffe AS, et al. Soluble ST2 and galectin-3 in pediatric patients without heart failure. Clin Biochem. 2015;48:1337–40.
Funding
MG was supported by the Pediatric Scientist Development Program. The Pediatric Scientist Development Program is supported by Award Number K12-HD000850 from the Eunice Kennedy Shriver National Institute of Child Health and Human Development. JMC received support from a Johns Hopkins All Children’s Hospital Foundation Institutional Research Grant. The work was supported in part by a Johns Hopkins All Children’s Foundation Institutional Research Grant (PI: N.A. Goldenberg; Johns Hopkins “iPICS” prospective multi-cohort and biobanking study of pediatric acute and chronic health conditions).
Author information
Authors and Affiliations
Contributions
MG, JMC, and ADE planned the project, analyzed the data, and wrote the manuscript; MG and JY performed the experiments and interpreted the results; MG and JMC performed statistical analysis; JY, ADE, MN, MW, JMJ, GF, SMM, and JMC recruited participants and performed research; and all authors reviewed, revised, and approved the manuscript for submission.
Corresponding author
Ethics declarations
Conflict of interest
The authors declare that they have no conflict of interest.
Additional information
Publisher’s note Springer Nature remains neutral with regard to jurisdictional claims in published maps and institutional affiliations.
Supplementary information
Rights and permissions
About this article
Cite this article
Griffiths, M., Yang, J., Everett, A.D. et al. Endostatin and ST2 are predictors of pulmonary hypertension disease course in infants. J Perinatol 40, 1625–1633 (2020). https://doi.org/10.1038/s41372-020-0671-8
Received:
Revised:
Accepted:
Published:
Version of record:
Issue date:
DOI: https://doi.org/10.1038/s41372-020-0671-8


