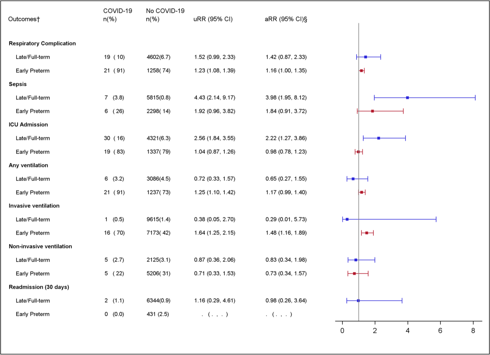
Fig. 1: Relative risk estimates for severity indicators by COVID-19 status stratified by gestational age*, premier healthcare database special COVID-19 release, March–December 2020**.
From: Illness severity indicators in newborns by COVID-19 status in the United States, March–December 2020

Abbreviations: COVID-19 coronavirus disease 2019, CI confidence interval, ICU intensive care unit, RR risk ratio; adjusted RR adjusted risk ratio, uRR unadjusted risk ratio. *Denominators for each gestational age strata were: 21 for early preterm (<34 weeks) COVID-19; 188 for late preterm/full term (≥34 weeks) COVID-19; 12,193 for early preterm No COVID-19; and 689,375 late preterm/full term No COVID-19. **Premier Healthcare Database, 609 hospitals with delivery hospitalizations. †Outcomes are not mutually exclusive. §Adjusted for hospital to account for within facility correlation.