Abstract
Objective
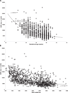
Scanty data are available about neonatal systemic vascular resistances (SVR). We aim to provide reference values and nomograms for neonatal SVR.
Design
Multicenter, cross-sectional,descriptive study performed in France and Italy. Neonates with complete hemodynamic stability were enrolled. Non-invasive measurements of SVR by electrical cardiometry performed once, after the first 72 h and before the 7th day of postnatal age.
Results
We studied 1094 neonates: SVR was correlated with gestational age (ρ = −0.55, adj-r = −0.46, p < 0.001) and birth weight (ρ = −0.59, adj-r = −0.45, p < 0.001) irrespective of newborn sex. The relationships between SVR, gestational age and birth weight were represented by power equations and SVR was decreasing with increasing age and weight. Age- and weight-based SVR nomograms had optimal goodness-of-fit (non-linear R2 ≥0.74). Similar results were obtained for body surface indexed-SVR.
Conclusions
In hemodynamically stable neonates, SVR decrease with increasing gestational age and birth weight. Specific gestational age and birth weight-based nomograms are provided for the clinical interpretation.
This is a preview of subscription content, access via your institution
Access options
Subscribe to this journal
Receive 12 print issues and online access
$259.00 per year
only $21.58 per issue
Buy this article
- Purchase on SpringerLink
- Instant access to the full article PDF.
USD 39.95
Prices may be subject to local taxes which are calculated during checkout




Similar content being viewed by others
Data availability
Deidentified study dataset is available upon reasonable request to researchers who provide a methodologically sound proposal. Data requestors will need to sign a data transfer agreement and respect all relevant regulations.
References
Pinsky MR, Cecconi M, Chew MS, De Backer D, Douglas I, Edwards M, et al. Effective hemodynamic monitoring. Crit Care. 2022;26:294 https://doi.org/10.1186/s13054-022-04173-z
Duignan SM, Lakshminrusimha S, Armstrong K, de Boode WP, El-Khuffash A, Franklin O, et al. Neonatal sepsis and cardiovascular dysfunction I: mechanisms and pathophysiology. Pediatr Res. 2024;95:1207–16. https://doi.org/10.1038/s41390-023-02926-2
De Boode WP. Advanced hemodynamic monitoring in the neonatal intensive care unit. Clin Perinatol. 2020;47:423–34. https://doi.org/10.1016/j.clp.2020.05.001
Singh Y, Tissot C, Fraga MV, Yousef N, Cortes RG, Lopez J, et al. International evidence-based guidelines on Point of Care Ultrasound (POCUS) for critically ill neonates and children issued by the POCUS Working Group of the European Society of Paediatric and Neonatal Intensive Care (ESPNIC). Crit Care. 2020;24:65 https://doi.org/10.1186/s13054-020-2787-9
McNamara PJ, Jain A, El-Khuffash A, Giesinger R, Weisz D, Freud L, et al. Guidelines and recommendations for targeted neonatal echocardiography and cardiac point-of-care ultrasound in the neonatal intensive care unit: an update from the American Society of Echocardiography. J Am Soc Echo. 2024;37:171–215. https://doi.org/10.1016/j.echo.2023.11.016
O’Neill R, Dempsey EM, Garvey AA, Schwarz CE. Non-invasive cardiac output monitoring in neonates. Front Pediatr. 2021;8:614585 https://doi.org/10.3389/fped.2020.614585
Pietrini D, Piastra M, Luca E, Mancino A, Conti G, Cavaliere F, et al. Neuroprotection and hypothermia in infants and children. Curr Drug Targets. 2012;13:925–35.
von Elm E, Altman DG, Egger M, Pocock SJ, Gøtzsche PC, Vandenbroucke JP. STROBE initiative. the strengthening the reporting of observational studies in epidemiology (STROBE) statement: guidelines for reporting observational studies. J Clin Epidemiol. 2008;61:344–9.
Van Zadelhoff AC, Poppe JA, Willemsen S, Mauff K, Van Weteringen W, Goos TG, et al. Age-dependent changes in arterial blood pressure in neonates during the first week of life: reference values and development of a model. Br J Anaesth. 2023;130:585–94.
Azzopardi DV, Strohm B, Edwards AD, Dyet L, Halliday HL, Juszczak E, et al. Moderate hypothermia to treat perinatal asphyxial encephalopathy. N. Engl J Med. 2009;361:1349–58.
Dell’Orto V, Bourgeois-Nicolaos N, Rouard C, Romain O, Shankar-Aguilera S, Doucet-Populaire F, et al. Cell count analysis from nonbronchoscopic bronchoalveolar lavage in preterm infants. J Pediatr. 2018;200:30–37.e2. https://doi.org/10.1016/j.jpeds.2018.04.074
Jetton JG, Boohaker LJ, Sethi SK, Wazir S, Rohatgi S, Soranno DE, et al. Incidence and outcomes of neonatal acute kidney injury (AWAKEN): a multicentre, multinational, observational cohort study. Lancet Child Adoles Health. 2017;1:184–94. https://doi.org/10.1016/S2352-4642(17)30069-X
Boet A, Jourdain G, Demontoux S, De Luca D. Stroke volume and cardiac output evaluation by electrical cardiometry: accuracy and reference nomograms in hemodynamically stable preterm neonates. J Perinatol. 2016;36:748–52. https://doi.org/10.1038/jp.2016.65
Osypka MJ, Bernstein DP. Electrophysiologic principles and theory of stroke volume determination by thoracic electrical bioimpedance. AACN Clin Issues. 1999;10(Aug):385–99. https://doi.org/10.1097/00044067-199908000-00008
Dionne JM, Bremner SA, Baygani SK, Batton B, Ergenekon E, Bhatt-Mehta V, et al. Method of blood pressure measurement in neonates and infants: a systematic review and analysis. J Pediatr. 2020;221:23–31.e5. https://doi.org/10.1016/j.jpeds.2020.02.072
Kiss JK, Gajda A, Mari J, Nemeth J, Bereczki C. Oscillometric arterial blood pressure in haemodynamically stable neonates in the first 2 weeks of life. Pediatr Nephrol. 2023;38:3369–78. https://doi.org/10.1007/s00467-023-05979-x
Trevor Inglis GD, Dunster KR, Davies MW. Establishing normal values of central venous pressure in very low birth weight infants. Physiol Meas. 2007;28:1283–91. https://doi.org/10.1088/0967-3334/28/10/012
Loi B, Regiroli G, Foligno S, Centorrino R, Yousef N, Vedovelli L, et al. Respiratory and haemodynamic effects of 6h-pronation in neonates recovering from respiratory distress syndrome, or affected by acute respiratory distress syndrome or evolving bronchopulmonary dysplasia: a prospective, physiological, crossover, controlled cohort study. EClinicalMedicine. 2022;55(Dec):101791 https://doi.org/10.1016/j.eclinm.2022.101791
Schmidt CWP Body Surface Area (BSA). In: Pediatric Oncologic Pharmacy. Cham. Berlin (Germany): Springer International Publishing 2019:141–141.
Fenton TR, Nasser R, Eliasziw M, Kim JH, Bilan D, Sauve R. Validating the weight gain of preterm infants between the reference growth curve of the fetus and the term infant. BMC Pediatr. 2013;13:92.
Hsu KH, Wu TW, Wang YC, Lim WH, Lee CC, Lien R. Hemodynamic reference for neonates of different age and weight: a pilot study with electrical cardiometry. J Perinatol. 2016;36:481–5. https://doi.org/10.1038/jp.2016.2
Norušis MJ SPSS 13.0 advanced statistical procedures companion. Upper Saddle River, NJ, USA: Prentice Hall 2004.
Colin Cameron A, Windmeijer FAG. An R-squared measure of goodness of fit for some common nonlinear regression models. J Econometr. 1997;77:329–42. https://doi.org/10.1016/S0304-4076(96)01818-0
Katori R. Normal cardiac output in relation to age and body size. Tohoku J Exp Med. 1979;128:377–87. https://doi.org/10.1620/tjem.128.377
Cattermole GN, Leung PY, Mak PS, Chan SS, Graham CA, Rainer TH. The normal ranges of cardiovascular parameters in children measured using the Ultrasonic Cardiac Output Monitor. Crit Care Med. 2010;38:1875–81. https://doi.org/10.1097/CCM.0b013e3181e8adee
de Simone G, Devereux RB, Daniels SR, Mureddu G, Roman MJ, Kimball TR, et al. Stroke volume and cardiac output in normotensive children and adults. Assessment of relations with body size and impact of overweight. Circulation. 1997;95:1837–43. https://doi.org/10.1161/01.cir.95.7.1837
Cecconi M, De Backer D, Antonelli M, Beale R, Bakker J, Hofer C, et al. Consensus on circulatory shock and hemodynamic monitoring. Task force of the European Society of Intensive Care Medicine. Intensive Care Med. 2014;40:1795–815.
Weiss SL, Peters MJ, Alhazzani W, Agus MSD, Flori HR, Inwald DP, et al. Surviving sepsis campaign international guidelines for the management of septic shock and sepsis-associated organ dysfunction in children. Intensive Care Med. 2020;46:10–67. https://doi.org/10.1007/s00134-019-05878-6
Boet A, Jourdain G, Demontoux S, Hascoet S, Tissieres P, Rucker-Martin C, et al. Basic hemodynamic monitoring using ultrasound or electrical cardiometry during transportation of neonates and infants. Pediatr Crit Care Med. 2017;18:e488–93. https://doi.org/10.1097/PCC.0000000000001298
Suehiro K, Joosten A, Murphy LS, Desebbe O, Alexander B, Kim SH, et al. Accuracy and precision of minimally-invasive cardiac output monitoring in children: a systematic review and meta-analysis. J Clin Monit Comput. 2016;30:603–20. https://doi.org/10.1007/s10877-015-9757-9
Gatelli IF, Vitelli O, Fossati M, De Rienzo F, Chiesa G, Martinelli S. Neonatal septic shock and hemodynamic monitoring in preterm neonates in an NICU: added value of electrical cardiometry in real-time tailoring of management and therapeutic strategies. Am J Perinatol. 2022;39:1401–4.
De Luca D, Romain O, Yousef N, Adriamanamirija D, Shankar-Aguilera S, Walls E, et al. Monitorages physiopathologiques en réanimation néonatale. J Pediatr Puer 2015;28:276–300. https://doi.org/10.1016/j.jpp.2015.06.004
Chakkarapani AA, Roehr CC, Hooper SB, Te Pas AB, Gupta S; ESPR Neonatal Resuscitation section writing group. Transitional circulation and hemodynamic monitoring in newborn infants. Pediatr Res. 2023. https://doi.org/10.1038/s41390-022-02427-8
Doni D, Nucera S, Rigotti C, Arosio E, Cavalleri V, Ronconi M, et al. Evaluation of hemodynamics in healthy term neonates using ultrasonic cardiac output monitor. Ital J Pediatr. 2020;46:112.
Ma M, Noori S, Maarek J-M, Holschneider DP, Rubinstein EH, Seri I. Prone positioning decreases cardiac output and increases systemic vascular resistance in neonates. J Perinatol. 2015;35:424–7.
Martini S, Gatelli IF, Vitelli O, Vitali F, De Rienzo F, Parladori R, et al. Impact of patent ductus arteriosus on non-invasive assessments of lung fluids in very preterm infants during the transitional period. Eur J Pediatr. 2023;182:4247–51.
Luecke T, Pelosi P. Clinical review: positive end-expiratory pressure and cardiac output. Crit Care. 2005;9:607–21. https://doi.org/10.1186/cc3877
Rodríguez Sánchez De La Blanca A, Sánchez Luna M, González Pacheco N, Arriaga Redondo M, Navarro Patiño N. Electrical velocimetry for non-invasive monitoring of the closure of the ductus arteriosus in preterm infants. Eur J Pediatr. 2018;177:229–35.
Author information
Authors and Affiliations
Contributions
VB and BL collected and interpreted the data, performed the statistical analysis and wrote the original draft of the manuscript. OV, AP, MEF, LV helped to collect and interpret the data and critically revised the manuscript. MDN and SM helped in data design and data interpretation and critically revised the manuscript. DDL conceived the study and designed it, performed the statistical analysis and prepared the figures and provide the study general supervision. All authors approved the final version of the manuscript.
Corresponding author
Ethics declarations
Competing interests
The authors declare no competing interests.
Ethics approval and consent to participate
French Critical Care Ethical Commission n.14/13 and Niguarda Hospital Institutional Ethical Board n.149674. The study respected the Helsinki Declaration.
Additional information
Publisher’s note Springer Nature remains neutral with regard to jurisdictional claims in published maps and institutional affiliations.
Supplementary information
Rights and permissions
Springer Nature or its licensor (e.g. a society or other partner) holds exclusive rights to this article under a publishing agreement with the author(s) or other rightsholder(s); author self-archiving of the accepted manuscript version of this article is solely governed by the terms of such publishing agreement and applicable law.
About this article
Cite this article
Bisceglie, V., Loi, B., Vitelli, O. et al. Neonatal reference values and nomograms of systemic vascular resistances estimated with electrical cardiometry. J Perinatol 45, 334–341 (2025). https://doi.org/10.1038/s41372-024-02115-x
Received:
Revised:
Accepted:
Published:
Version of record:
Issue date:
DOI: https://doi.org/10.1038/s41372-024-02115-x
This article is cited by
-
Minute-by-minute systemic hemodynamic responses to packed red blood cell transfusion in extremely low gestational age neonates: a prospective cohort study
Pediatric Research (2026)
-
FoCUS and non-invasive hemodynamics monitoring in neonatal sepsis
European Journal of Pediatrics (2025)


