Abstract
Objectives
Assess heart rate (HR) trends in the minutes following delivery in late preterm infants 34ā36 6/7 weeks with spontaneous respirations and compare trends in infants with delayed transition requiring interventions and assess the direct potential impact of these interventions on HR changes.
Design
Prospective observational single center study in 20 late preterm infants born via cesarean section utilizing the NeoBeat which uses dry electrode technology to obtain blinded HR measures in infants with spontaneous respirations versus infants requiring interventions i.e.: positive pressure ventilation, continuous positive airway pressure or suctioning.
Results
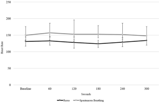
Initial HR in spontaneously breathing infants (nā=ā8) was higher versus those requiring interventions, differences that persisted through five minutes. Iatrogenic bradycardia ranging from 65 to 90 beats/minute was induced by interventions in five(42%) of 12 infants.
Conclusions
Initial HR in spontaneously breathing late preterm infants was significantly higher compared to infants who received interventions. Respiratory interventions induced sudden unanticipated bradycardia in many cases.
This is a preview of subscription content, access via your institution
Access options
Subscribe to this journal
Receive 12 print issues and online access
$259.00 per year
only $21.58 per issue
Buy this article
- Purchase on SpringerLink
- Instant access to the full article PDF.
USD 39.95
Prices may be subject to local taxes which are calculated during checkout




Similar content being viewed by others
Data availability
The data are available upon reasonable request.
References
Wyckoff MH, Greif R, Morley PT, Ng KC, Olasveengen TM, Singletary EM, et al. 2022 International Consensus on Cardiopulmonary Resuscitation and Emergency Cardiovascular Care Science With Treatment Recommendations: Summary From the Basic Life Support; Advanced Life Support; Pediatric Life Support; Neonatal Life Support; Education, Implementation, and Teams; and First Aid Task Forces. Circulation. 2022;146:e483āe557.
Textbook of Neonatal Resuscitation(8th edition) Weiner, Gary M., Zaichkin, Jeanette Editors American Academy of Pediatrics, & American Heart Association.
Bush JB, Cooley V, Perlman J, Chang C. NeoBeat offers rapid newborn heart rate assessment. Arch Dis Child Fetal Neonatal Ed 2021;106:550ā2.
Linde JE, Schulz J, Perlman JM, Oymar K, Francis F. Normal newborn heart rate in the first five minutes of life assessed by dry-electrode electrocardiography. Neonatology. 2016;110:231ā7.
Pike H, EilevstjĆønn J, Bjorland P, Linde J, Ersdal H, Rettedal S. Heart rate detection properties of dry-electrode ECG compared to conventional 3-lead gel-electrode ECG in newborns. BMC Res Notes. 2021;14:166.
Rettedal S, EilevstjĆønn J, Kibsgaard A, KvalĆøy JT, Ersdal H. Comparison of heart rate feedback from dry-electrode ECG, 3-lead ECG, and pulse oximetry during newborn resuscitation. Children. 2021;8:1092.
Bjorland PA, Ersdal HL, EilevstjĆønn J, Ćymar K, Davis PG, Rettedal SI. Changes in heart rate from 5 s to 5āmin after birth in vaginally delivered term newborns with delayed cord clamping. Arch Dis Child Fetal Neonatal Ed. 2021;106:311ā5.
Badurdeen S, Davis PG, Hooper SB, Donath S, Santomartino GA, Heng A, et al. Baby Directed Umbilical Cord Clamping (Baby DUCC) collaborative group. Physiologically based cord clamping for infants ā„32+0 weeks gestation: a randomised clinical trial and reference percentiles for heart rate and oxygen saturation for infants ā„35+0 weeks gestation. PLoS Med. 2022;19:e1004029.
Nerdrum Aagaard E, SolevĆ„g AL, Saugstad OD. Significance of neonatal heart rate in the delivery roomāa review. Children. 2023;10:1551.
Pichler G, Baik N, Urlesberger B, Cheung PY, Aziz K, Avian A, et al. Cord clamping time in spontaneously breathing preterm neonates in the first minutes after birth: Impact on cerebral oxygenationāA prospective observational study. J Matern -Fetal Neonatal Med. 2015;29:1570ā2.
Mukherjee S, Bulsara JS, Das MK, Waratakar Y, Saha AK, Dubei S, et al. Is delaying cord clamping until placenta delivery beneficial? oxygen saturation and heart rate transition during the initial 5āmin after delivery in indian healthy newborns. Am J Perinatol 2020;37:738ā44.
Kukka AJ, Berkelhamer SK, EilevstjĆønn J, Wood TR, Basnet O, Kc A. Observational study comparing heart rate in crying and non-crying but breathing infants at birth. BMJ Paediatr Open. 2023;7:e001886.
Kuypers KLAM, Hopman A, Cramer SJE, Dekker J, Visser R, Hooper SB, et al. Effect of initial and subsequent mask applications on breathing and heart rate in preterm infants at birth. Arch Dis Child Fetal Neonatal Ed. 2023;108:594ā8.
Kuypers KLAM, Lamberska T, Martherus T, Dekker J, Bƶhringer S, Hooper SB, et al. The effect of a face mask for respiratory support on breathing in preterm infants at birth. Resuscitation 2019;144:178ā84.
Gaertner VD, Rüegger CM, OāCurrain E, Kamlin COF, Hooper SB, Davis PG, et al. Physiological responses to facemask application in newborns immediately after birth. Arch Dis Child Fetal Neonatal Ed. 2021;106:381ā5.
Kuypers K, Martherus T, Lamberska T, Dekker J, Hooper SB, Te Pas AB. Reflexes that impact spontaneous breathing of preterm infants at birth: a narrative review. Arch Dis Child Fetal Neonatal Ed. 2020;105:675ā9.
Badurdeen S, Brooijmans E, Blank DA, Kuypers KLAM, Te Pas AB, Roberts C, et al. Heart rate changes following facemask placement in infants born at ±32+0weeks of gestation. Neonatology. 2023;120:624ā32.
Dawes G, Jacobson H, Mott JC, Shelley HJ, Stafford A. The treatment of asphyxiated, mature foetal lambs and rhesus monkeys with intravenous glucose and sodium carbonate. J Physiol. 1963;169:174.
Purington C, EilevstjĆønn J, Dalen I, Yeconia A, Blacy L, Mduma E, et al. Use of suctioning during newborn resuscitation and its effects on heart rate in a low-resource setting, Tanzania. Children (Basel). 2023;10:1540.
Cordero L Jr, Hon EH. Neonatal bradycardia following nasopharyngeal stimulation. J Pediatr. 1971;78:441ā7. https://doi.org/10.1016/s0022-3476(71)80224-x.
Author information
Authors and Affiliations
Contributions
YD designed the study, recruited the subjects, applied the NeoBeat, reviewed and analyzed the data, drafted the initial manuscript, critically reviewed and revised the manuscript DE helped in the design of the study, helped in the data analysis, revised the manuscript. RM recruited subjects, applied the Neobeat and revised the manuscript. CT facilitated and directed the statistical analysis, revised the manuscript. CO facilitated the recruitment of patients and revised the manuscript. JP provided senior mentoring on all aspects of the study and critically reviewed and revised the manuscript. All authors critically reviewed the manuscript for important intellectual content, revised the manuscript and approved the final manuscript as submitted and agree to be accountable for all aspects of the work.
Corresponding author
Ethics declarations
Competing interests
The authors declare no competing interests.
Ethical approval
This study was approved by the Weill Cornell Institutional Review Board (FWA # 00000093. Consent was obtained from the parent prior to delivery.
Additional information
Publisherās note Springer Nature remains neutral with regard to jurisdictional claims in published maps and institutional affiliations.
Rights and permissions
Springer Nature or its licensor (e.g. a society or other partner) holds exclusive rights to this article under a publishing agreement with the author(s) or other rightsholder(s); author self-archiving of the accepted manuscript version of this article is solely governed by the terms of such publishing agreement and applicable law.
About this article
Cite this article
Davydova, Y., Elachi, D., Miller, R. et al. Immediate heart rate changes in late preterm infants receiving resuscitation in the delivery room. J Perinatol 45, 1568ā1572 (2025). https://doi.org/10.1038/s41372-025-02220-5
Received:
Revised:
Accepted:
Published:
Version of record:
Issue date:
DOI: https://doi.org/10.1038/s41372-025-02220-5


