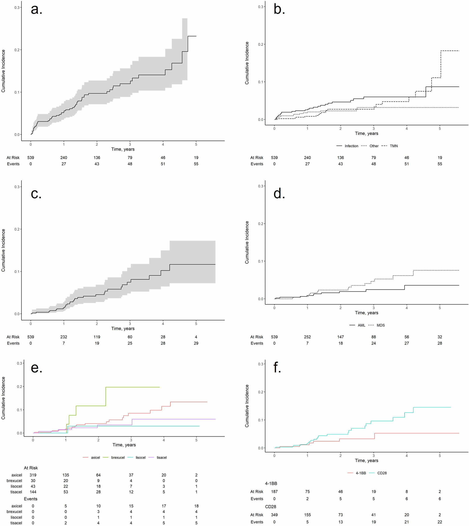
Fig. 1: Non-relapse mortality (NRM) and therapy-related myeloid neoplasms (t-MN) incidences curves.

a Incidence of NRM. b Incidence of NRM caused by infection, t-MN or other causes. c Incidence of t-MN with death and relapse treat as competing risk. d Incidence of t-AML and t-MDS with death and relapse treat as competing risk. e Incidence of t-MN depending of the CAR T cell used. f Incidence of t-MN depending of the co-stimulatory domain of the CAR T cells (4-1BB or CD28).