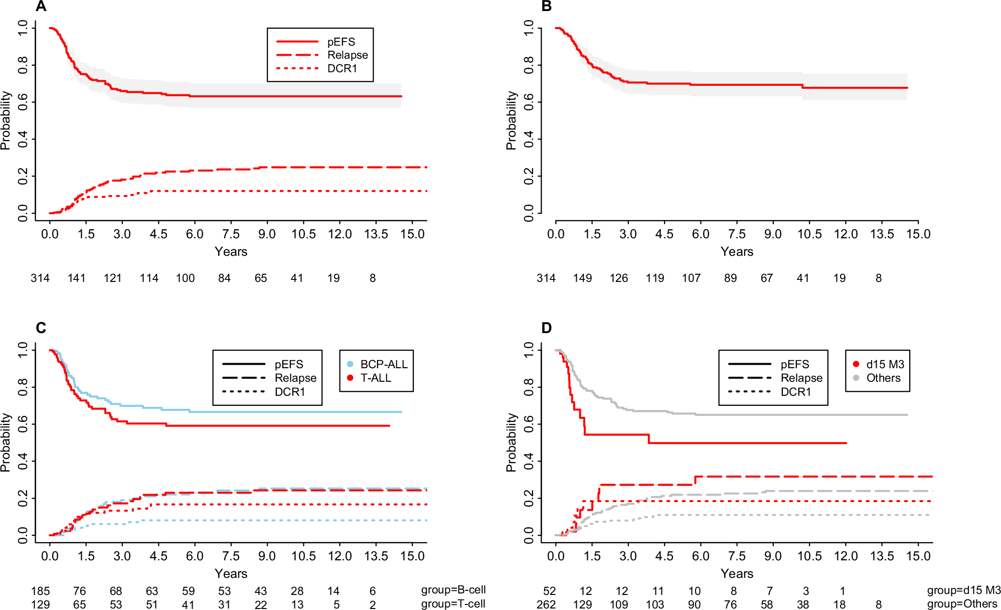
Fig. 1: The HR cohort’s overall and event-free survival curves, along with the cumulative incidences of relapse and death.

The number of participants at risk is provided at the bottom of each panel. A Event-free survival and cumulative incidence of death and relapse with 95% confidence intervals. B Overall survival with 95% confidence intervals. C Event-free survival and cumulative incidence of death and relapse by cell lineage. D Event-free survival and cumulative incidence of death and relapse for patients stratified to block therapy on day 15.