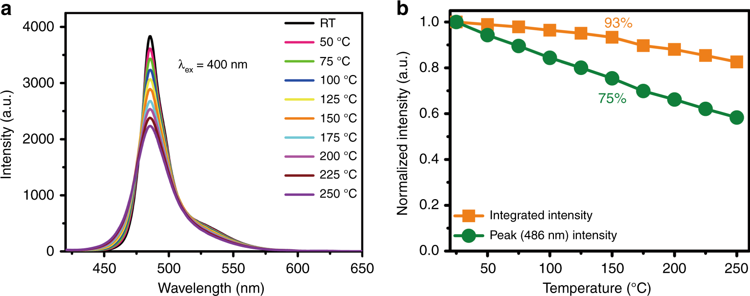
Fig. 3: Thermal quenching behavior of NKLSO:8%Eu2+ phosphor.
From: Emerging ultra-narrow-band cyan-emitting phosphor for white LEDs with enhanced color rendition

a Temperature-dependent emission spectra of NKLSO:8%Eu2+ phosphor under 400 nm excitation in the temperature range RT–250 °C with a temperature interval of 25 °C. b Temperature-dependent normalized integrated emission intensities and normalized peak (486 nm) intensities of NKLSO:8%Eu2+