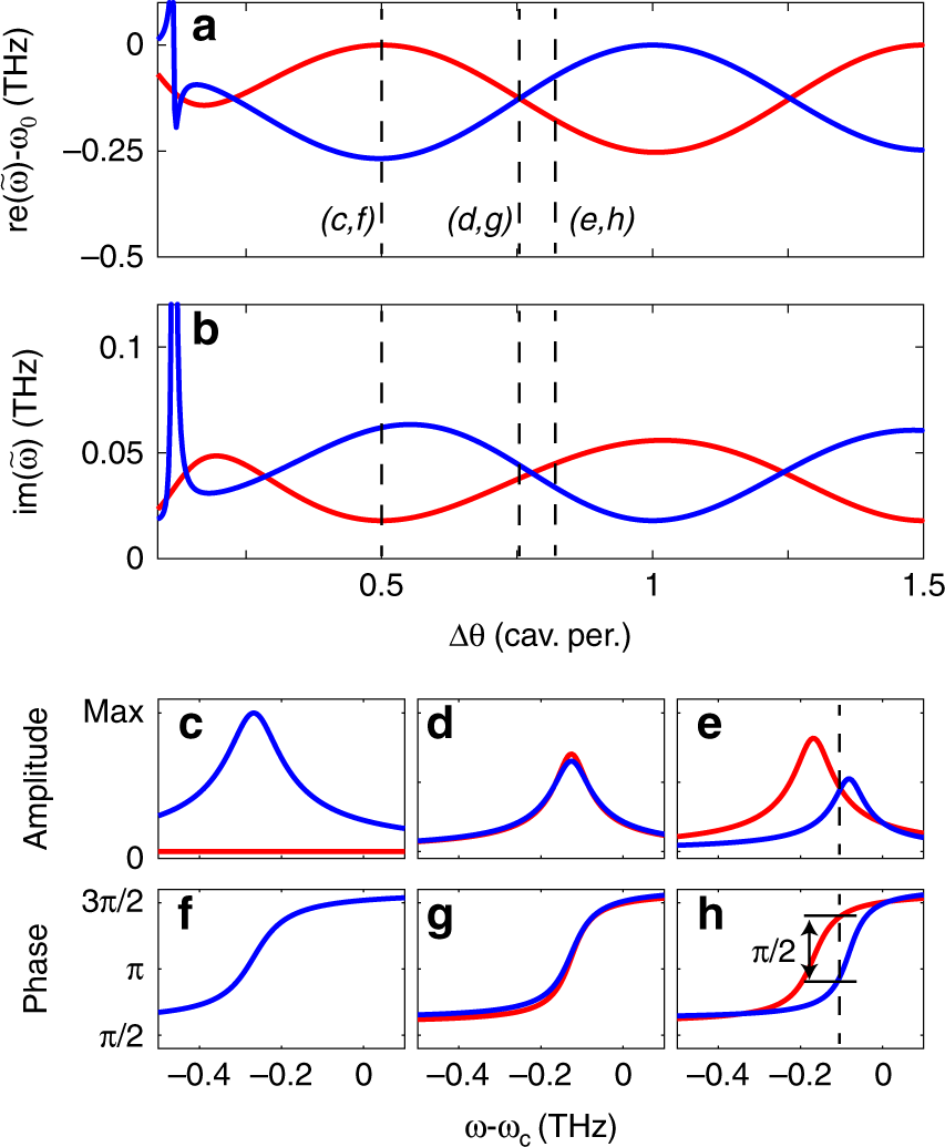
Fig. 3: Complex eigenfrequencies for the antenna-dimer microdisk hybrid system.
From: Cooperative interactions between nano-antennas in a high-Q cavity for unidirectional light sources

Real (a) and imaginary (b) eigenfrequency of the symmetric (blue) and antisymmetric (red) hybrid QNMs versus the angular separation between antennas. The amplitude (c, d, e) and phase (f, g, h) show the physics underlying directional emission at three salient antenna separations (dashed vertical lines in a, b). Since the amplitude of the symmetric mode is null in c, its phase is not defined and therefore not plotted in (f). The dashed line in (e, h) is a guide for the eye. Where one mode is maximally perturbed and the other is not (c, f), the source excites only one of the two hybrid WGMs (symmetric, blue curves). Where the symmetric and antisymmetric modes are perturbed equally (d, g), both modes are excited equally and in phase, leading to no directionality. Just away from degeneracy (e, h), one can achieve equal amplitude and a π/2 phase difference, leading to unidirectionality.