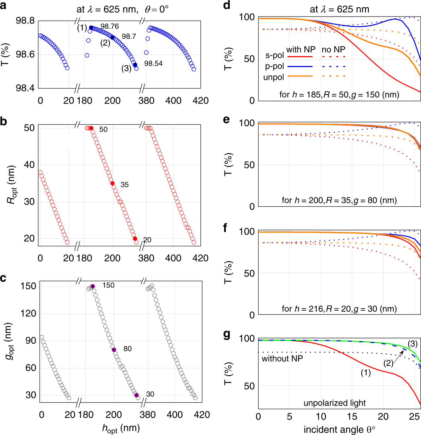
Fig. 3: Obtaining parameters for optimal transmission and its dependence on incident angle.
From: Nanoparticle meta-grid for enhanced light extraction from light-emitting devices

a–c Optimization of the optical transmittance (T) at 625nm for normal incidence via tuning of the NP array parameters. a Maximum transmittance obtained at each height h (where T≥98.5%), and corresponding optimal (b) radius Ropt, and (c) interparticle gap gopt. d–f Transmittance at different permissible incident angles for s-polarized (red), p-polarized (blue), and unpolarized (green) light for cases (1)–(3) [marked in (a)]; for each polarization, the dotted curves show the light transmission without the NP array. g Comparison among the transmittance for unpolarized light in those three cases. The dotted line, obtained without the NP array, serves as a reference. Here, AlGaInP (n1=3.49) is the semiconductor material and epoxy (n2=1.58) is the encapsulating material