Thank you for visiting nature.com. You are using a browser version with limited support for CSS. To obtain
the best experience, we recommend you use a more up to date browser (or turn off compatibility mode in
Internet Explorer). In the meantime, to ensure continued support, we are displaying the site without styles
and JavaScript.
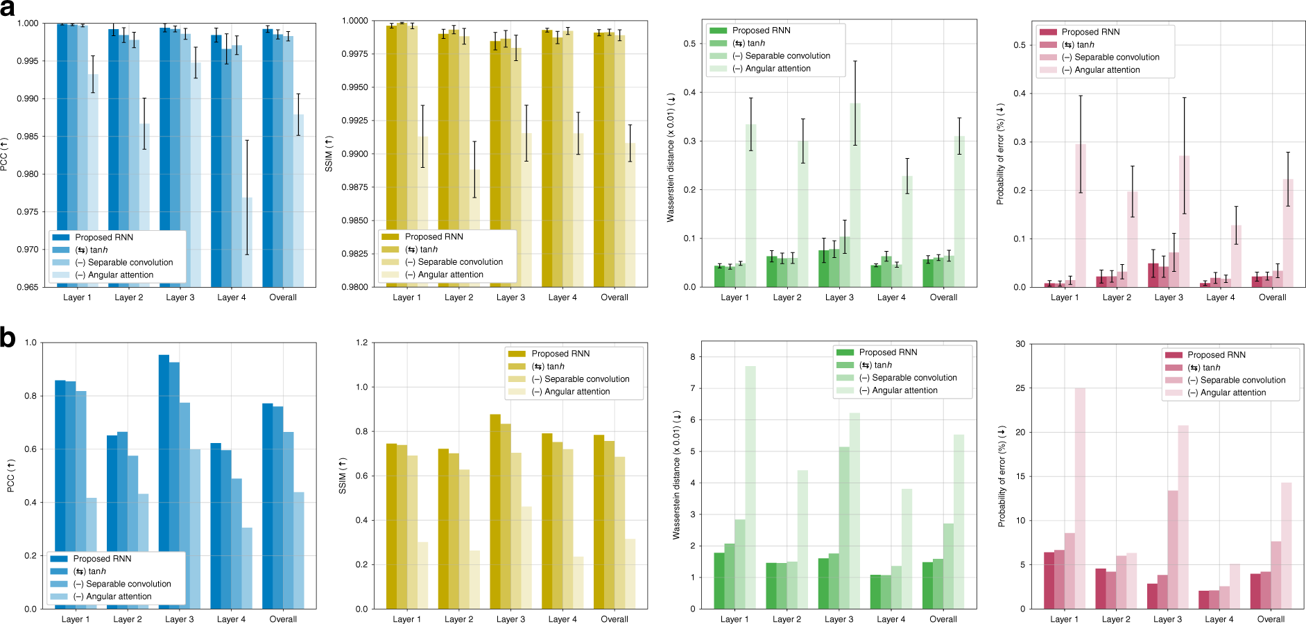
Quantitative assessment from the ablation study using four different metrics on (a) simulated and (b) experimental data. Graphs in (a) show the means and 95% confidence intervals. Raw data of Fig. 14b can be found in Table S3 in SI Section S2