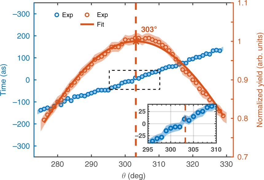
Fig. 3: Measured tunneling ionization time with respect to the electron emission angle.
From: Full experimental determination of tunneling time with attosecond-scale streaking method

For comparison, the radially integrated PAD is shown by the red circles, which is fitted with a Gaussian function (red solid curve) determining the peak of the PAD (vertical dashed line). The inset shows the enlarged view of the region inside the dashed frame. Note that zero time corresponds to the field maximum of the elliptically polarized laser pulse. The experimental errors (shaded area) for the time show the 95% confidence interval for the fitting process, and those for the photoelectron yield show the standard deviation of the statistical errors