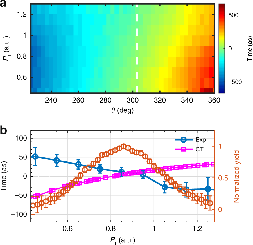
Fig. 4: Energy- and angle-resolved tunneling ionization time.
From: Full experimental determination of tunneling time with attosecond-scale streaking method

a The extracted tunneling ionization time with respect to the electron momentum pr and the electron emission angle from the measurement. b The lineout taken at the emission angle of 303° from (a). The prediction by the classical-trajectory (CT) model is shown by the squares. For comparison, the normalized yield as a function of the electron momentum at θ = 303° is shown by the red circles. The error bars for the ionization time show the 95% confidence interval for the fitting process, and those for the photoelectron yield show the standard deviation of the statistical errors