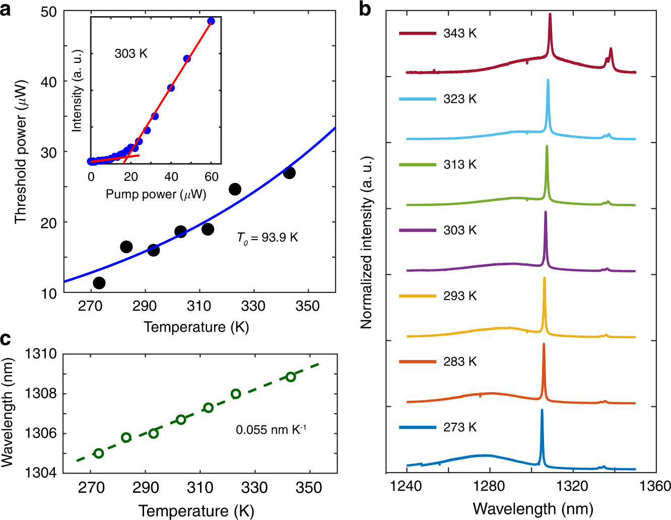
Fig. 5: Temperature dependent laser performance.
From: Ultra-low threshold continuous-wave quantum dot mini-BIC lasers

a Temperature dependence of the lasing threshold, and the blue line represents the exponential fit to the experimental data (black dots), revealing the characteristic temperature T0 of 93.9 K. The inset shows the measured L–L curve of the laser at 303 K, indicating a threshold at 18 μW. b Normalized lasing spectra at the pumping power 200 μW (above threshold) from 273 to 343 K. c Temperature dependence of lasing wavelength at the pumping power 200 μW. The dashed line is the linear fit to the experimental data (brown circles), showing a linear wavelength-temperature tuning rate of 0.055 nm K−1