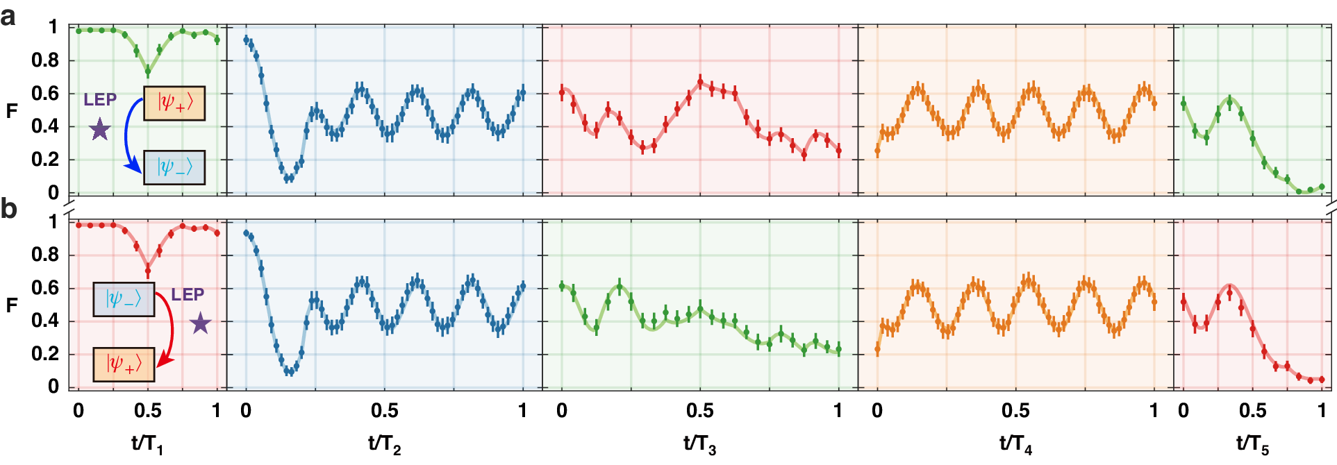
Fig. 3: Closed loops that lead to mode conversion.
From: Chiral quantum heating and cooling with an optically controlled ion

a Counterclockwise loop starting at \(\left|{\psi }_{+}\right\rangle\) and ending at \(\left|{\psi }_{-}\right\rangle\). b Clockwise loop starting at \(\left|{\psi }_{-}\right\rangle\) and ending at \(\left|{\psi }_{+}\right\rangle\). Evolution of the system’s state along the closed loop trajectory is characterized by the fidelity \(\langle {\psi }_{+}|\rho (t)\left|{\psi }_{+}\right\rangle\) in (a) and the fidelity \(\langle {\psi }_{-}|\rho (t)\left|{\psi }_{-}\right\rangle\) in (b). The circles and error bars respectively denote the average and standard deviations of 10000 measurements. The solid curves are obtained by simulating master equations. Durations of the five strokes are T1 = T5 = 6 μs, T3 = 12 μs, and T2 = T4 = 150 μs. Other parameters are Ω/2π = 120 kHz, Δmin/2π = −400 kHz, Δmax/2π = 400 kHz, γmin ≈ 0 kHz, and γmax ≈ 1.45 MHz