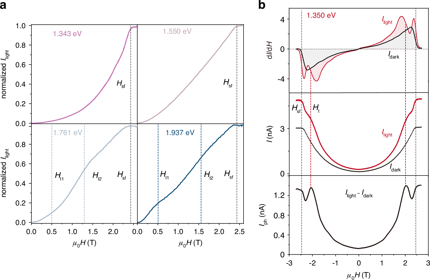
Fig. 4: Magneto-photocurrent at specific incident photon energies.
From: Multi-parameter control of photodetection in van der Waals magnet CrSBr

a Ilight versus µ0H under 1.343-eV, 1.550-eV, 1.761-eV, and 1.937-eV laser excitations polarized along the b axis. Currents are normalized for clarity. Ht represents the magnetic field when the redshift of the optical transition energy caused by the spin-canting process spans the energy level of the incident photons. b Photocurrent versus µ0H under laser excitation of 1.350 eV. The top two panels show the Ilight and Idark signals with varying magnetic fields and their corresponding first derivatives, revealing a two-step transition positioned at Ht of 2 T and Hsf of 2.4 T. The bottom panel shows the Iph signal, displaying a photocurrent kink at 2 T. The transition fields are determined by the steepest drops in the current derivative