Fig. 2
From: Experimental benchmarking of quantum state overlap estimation strategies with photonic systems

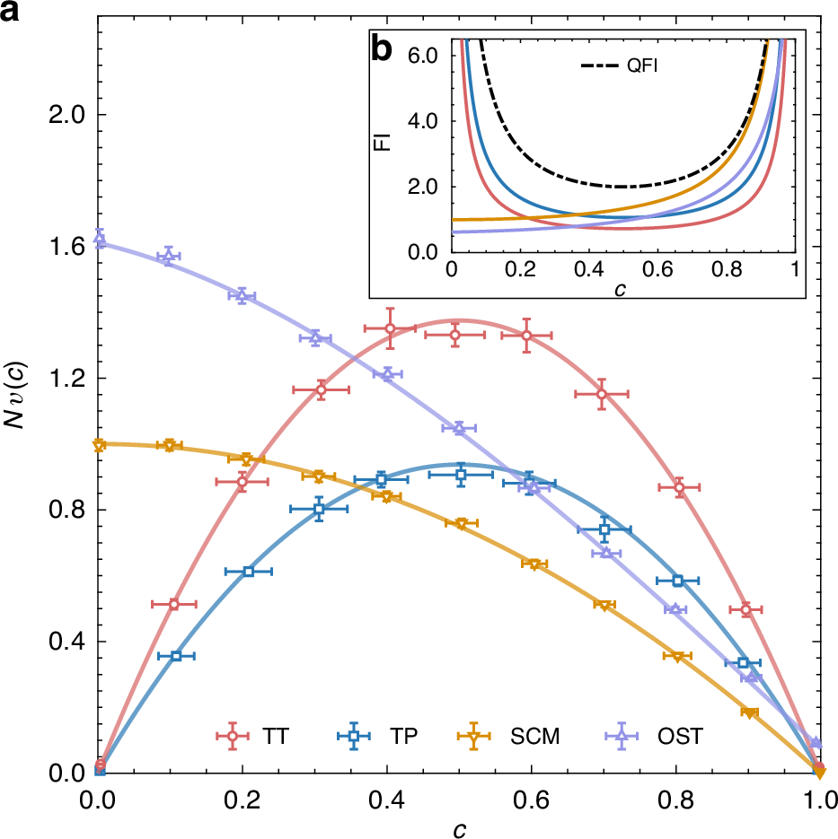
Experimentally measured scaled average variances \({\boldsymbol{Nv}}({\boldsymbol{c}})\) and the corresponding Fisher information vs the value of overlap \({\boldsymbol{c}}\). a Experimentally determined (markers) and theoretical (solid lines) \({Nv}(c)\) for four overlap estimation strategies with the copy number \(N\,=\,900\). Vertical error bars represent the uncertainties of \({Nv}(c)\) over \(10\) runs of the experiments. Horizontal error bars denote the standard deviation of the exact overlap values for different qubit pairs generated in the experiments (see “Materials and methods”). b Normalized Fisher information (FI) per state pair at large \(N\) for each strategy. The black dashed line indicates the quantum Fisher information (QFI)