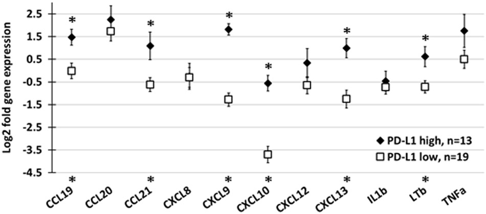
Fig. 3

Comparison of log2-fold gene expression of various chemokines and cytokines in formalin-fixed paraffin-embedded oral squamous cell carcinoma tissue samples with high and low programmed-death ligand 1 (PD-L1) score. Error bars indicate ±standard error of the mean, and *P < 0.05. The P-value was calculated using two sample T-test