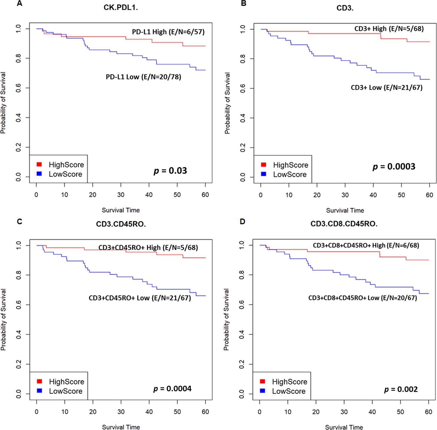
Fig. 2: Association of PD-L1 expression and effector/memory cytotoxic T cells with survival in TNBC patients.

A Kaplan–Meier curves of OS between patients with high and low PD-L1 expression in tumour cells by density in TNBC (p = 0.03). B Kaplan–Meier curves of OS between patients with high and low densities of T cells in TNBC (p = 0.0003). C Kaplan–Meier curves of OS between patients with high and low densities of memory T cells in TNBC (p = 0.0004). D Kaplan–Meier curves of OS between patients with high and low densities of effector/memory cytotoxic T cells in TNBC (p = 0.002). E, number of patients affected; N, number of patients at risk.