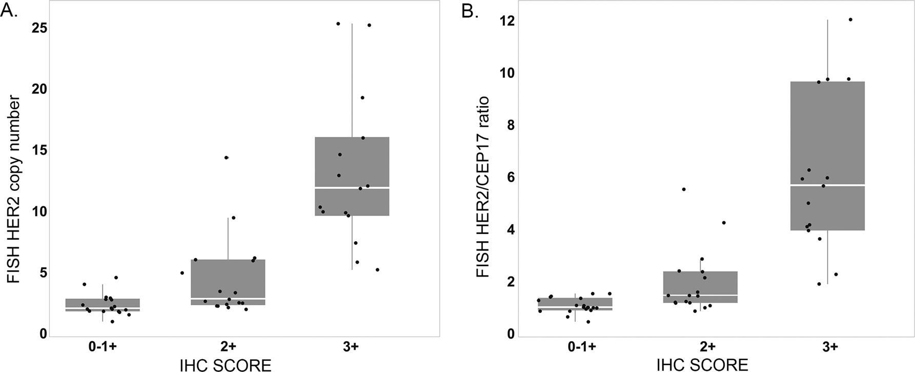
Fig. 2: Comparison of IHC and FISH.

Box and whisker plot of IHC score status to FISH results comparing the HER2 copy number as estimated by FISH between IHC groups (A) and HER2/CEP17 ratio with IHC groups (B). Abbreviations: IHC, immunohistochemistry; FISH, fluorescence in situ hybridization.