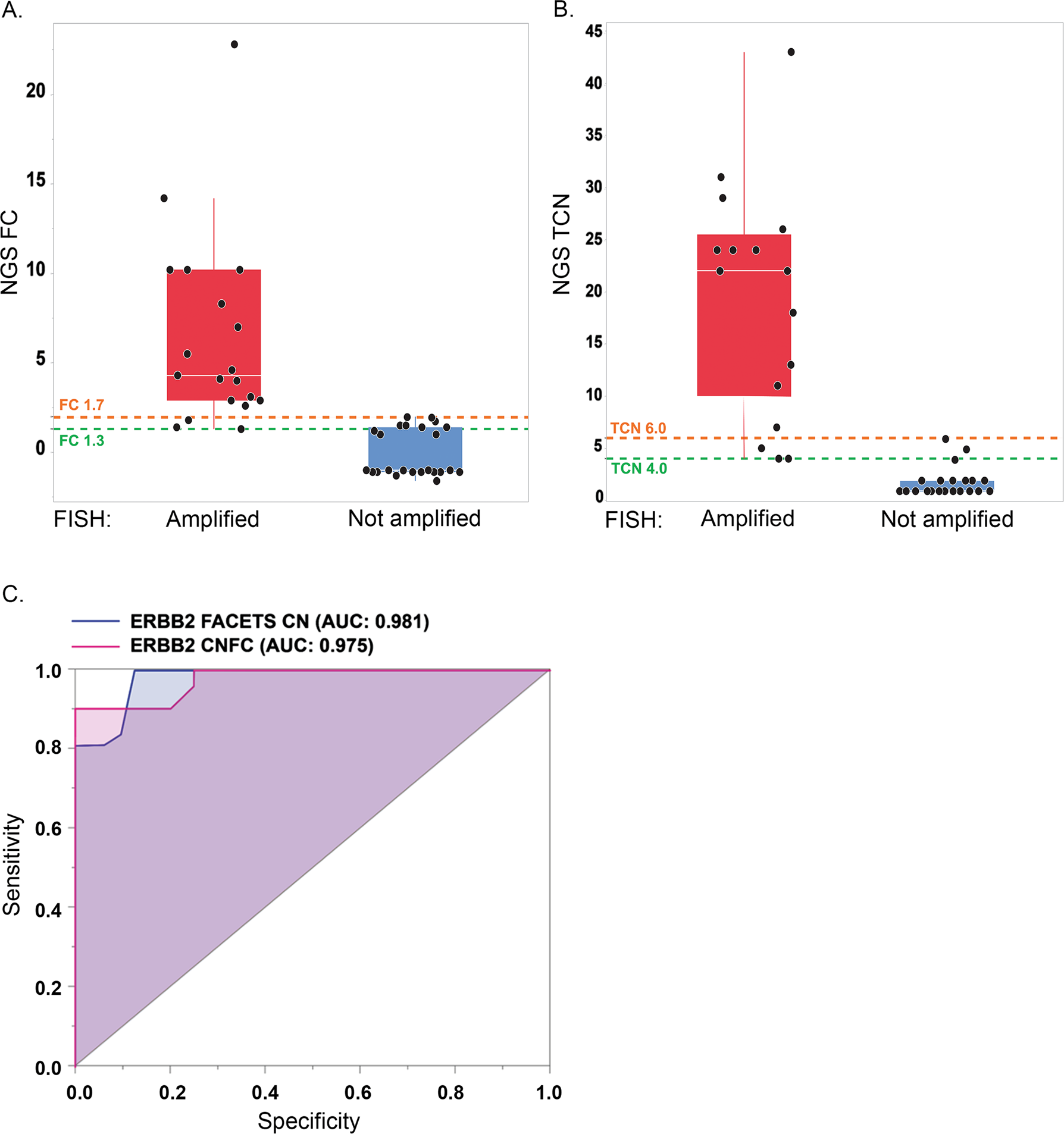
Fig. 3: Box and whisker plot of binarized FISH amplification status to NGS results.

A comparison to FC values shows FC of 1.3–1.7 to be equivocal for amplification (A). A comparison to TCN values shows TCN of 4–6 are equivocal for amplification (B). A ROC curve estimation imputing FISH as the “gold standard” shows both NGS FC and total TCN are reliable predictors of FISH amplification status (C). Abbreviations: FISH, fluorescence in situ hybridization; NGS, next-generation sequencing; FC, fold change; TCN, total copy number; ROC, receiver operating characteristics.