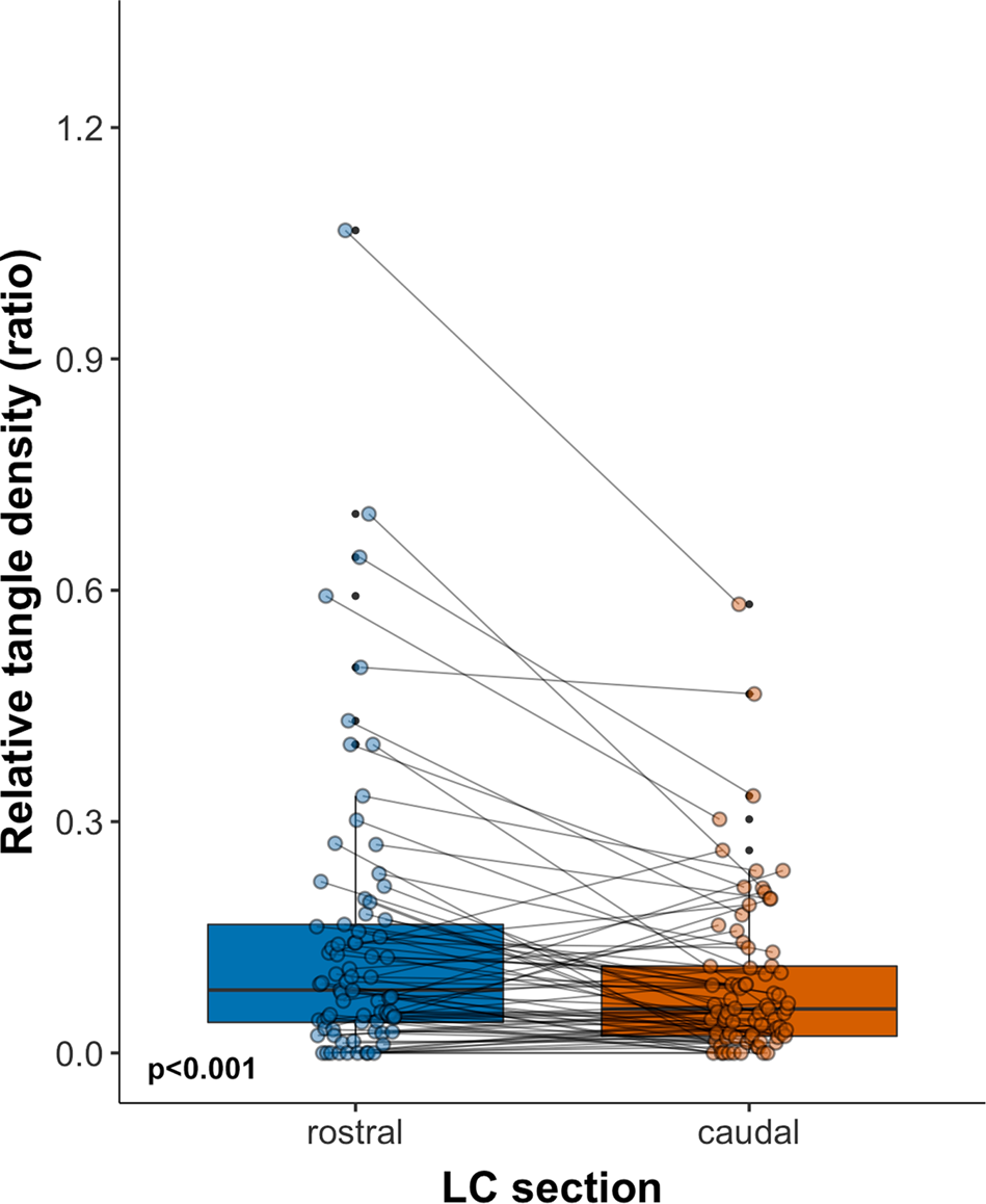
Fig. 5: Rostral versus caudal tangle density in the LC in the MAP dataset.

Note: Boxplot depicting the rostral and caudal tangle LC density (relative to its neuronal density) for the entire MAP sample (MAP dataset, N = 77). The boxplot depicts the interquartile interval (quartile one to three), with the horizontal line in the box representing the median.