Abstract
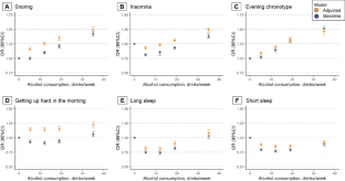
Previous studies have shown that excessive alcohol consumption is associated with poor sleep. However, the health risks of light-to-moderate alcohol consumption in relation to sleep traits (e.g., insomnia, snoring, sleep duration and chronotype) remain undefined, and their causality is still unclear in the general population. To identify the association between alcohol consumption and multiple sleep traits using an observational and Mendelian randomization (MR) design. Observational analyses and one-sample MR (linear and nonlinear) were performed using clinical and individual-level genetic data from the UK Biobank (UKB). Two-sample MR was assessed using summary data from genome-wide association studies from the UKB and other external consortia. Phenotype analyses were externally validated using data from the National Health and Nutrition Examination Survey (2017–2018). Data analysis was conducted from January 2022 to October 2022. The association between alcohol consumption and six self-reported sleep traits (short sleep duration, long sleep duration, chronotype, snoring, waking up in the morning, and insomnia) were analysed. This study included 383,357 UKB participants (mean [SD] age, 57.0 [8.0] years; 46% male) who consumed a mean (SD) of 9.0 (10.0) standard drinks (one standard drink equivalent to 14 g of alcohol) per week. In the observational analyses, alcohol consumption was significantly associated with all sleep traits. Light-moderate-heavy alcohol consumption was linearly linked to snoring and the evening chronotype but nonlinearly associated with insomnia, sleep duration, and napping. In linear MR analyses, a 1-SD (14 g) increase in genetically predicted alcohol consumption was associated with a 1.14-fold (95% CI, 1.07–1.22) higher risk of snoring (P < 0.001), a 1.28-fold (95% CI, 1.20–1.37) higher risk of evening chronotype (P < 0.001) and a 1.24-fold (95% CI, 1.13–1.36) higher risk of difficulty waking up in the morning (P < 0.001). Nonlinear MR analyses did not reveal significant results after Bonferroni adjustment. The results of the two-sample MR analyses were consistent with those of the one-sample MR analyses, but with a slightly attenuated overall estimate. Our findings suggest that even low levels of alcohol consumption may affect sleep health, particularly by increasing the risk of snoring and evening chronotypes. The negative effects of alcohol consumption on sleep should be made clear to the public in order to promote public health.
This is a preview of subscription content, access via your institution
Access options
Subscribe to this journal
Receive 12 print issues and online access
$259.00 per year
only $21.58 per issue
Buy this article
- Purchase on SpringerLink
- Instant access to the full article PDF.
USD 39.95
Prices may be subject to local taxes which are calculated during checkout




Similar content being viewed by others
References
Irwin MR. Why sleep is important for health: a psychoneuroimmunology perspective. Annu Rev Psychol. 2015;66:143–72.
Buysse DJ. Sleep health: can we define it? Does it matter? Sleep. 2014;37:9–17.
He S, Hasler BP, Chakravorty S. Alcohol and sleep-related problems. Curr Opin Psychol. 2019;30:117–22.
Meyrel M, Rolland B, Geoffroy PA. Alterations in circadian rhythms following alcohol use: A systematic review. Prog Neuropsychopharmacol Biol Psychiatry. 2020;99:109831.
Hu N, Ma Y, He J, Zhu L, Cao S. Alcohol consumption and incidence of sleep disorder: a systematic review and meta-analysis of cohort studies. Drug Alcohol Depend. 2020;217:108259.
Colrain IM, Nicholas CL, Baker FC. Alcohol and the sleeping brain. Handb Clin Neurol. 2014;125:415–31.
Roehrs T, Roth T. Sleep, sleepiness, and alcohol use. Alcohol Res Health. 2001;25:101–9.
Plescia F, Cirrincione L, Martorana D, Ledda C, Rapisarda V, Castelli V, et al. Alcohol abuse and insomnia disorder: focus on a group of night and day workers. Int J Environ Res Public Health. 2021;18:13196.
Huang YP, Chien WC, Chung CH, Huang YC, Kuo SC, Chen CY, et al. Increased incidence of alcohol use disorder and alcohol-related psychiatric disorders in patients with obstructive sleep apnea: A nationwide population-based cohort study. Sleep Med. 2022;101:197–204.
Chakravorty S, Chaudhary NS, Brower KJ. Alcohol dependence and its relationship with insomnia and other sleep disorders. Alcohol Clin Exp Res. 2016;40:2271–82.
Koob GF, Colrain IM. Alcohol use disorder and sleep disturbances: a feed-forward allostatic framework. Neuropsychopharmacology. 2020;45:141–65.
Zhang R, Tomasi D, Manza P, Shokri-Kojori E, Demiral SB, Feldman DE, et al. Sleep disturbances are associated with cortical and subcortical atrophy in alcohol use disorder. Transl Psychiatry. 2021;11:428.
Zheng D, Yuan X, Ma C, Liu Y, VanEvery H, Sun Y, et al. Alcohol consumption and sleep quality: a community-based study. Public Health Nutr. 2021;24:4851–8.
Verlinden JJ, Moloney ME, Whitehurst LN, Weafer J. Sex differences in the association between poor sleep quality and alcohol-related problems among heavy drinkers with insomnia. Front Behav Neurosci. 2022;16:875168.
Hussain J, Ling L, Alonzo RT, Rodrigues R, Nicholson K, Stranges S, et al. Associations between sleep patterns, smoking, and alcohol use among older adults in Canada: Insights from the Canadian Longitudinal Study on Aging (CLSA). Addict Behav. 2022;132:107345.
Miller MB, Freeman LK, Deroche CB, Park CJ, Hall NA, McCrae CS. Sleep and alcohol use among young adult drinkers with Insomnia: A daily process model. Addict Behav. 2021;119:106911.
Lydon DM, Ram N, Conroy DE, Pincus AL, Geier CF, Maggs JL. The within-person association between alcohol use and sleep duration and quality in situ: An experience sampling study. Addict Behav. 2016;61:68–73.
Schweizer CA, Hoggatt KJ, Washington DL, Bean-Mayberry B, Yano EM, Mitchell MN, et al. Use of alcohol as a sleep aid, unhealthy drinking behaviors, and sleeping pill use among women veterans. Sleep Health. 2019;5:495–500.
Goodhines PA, Gellis LA, Kim J, Fucito LM, Park A. Self-Medication for Sleep in College Students: Concurrent and Prospective Associations With Sleep and Alcohol Behavior. Behav Sleep Med. 2019;17:327–41.
Goodhines PA, Gellis LA, Ansell EB, Park A. Cannabis and alcohol use for sleep aid: A daily diary investigation. Health Psychol. 2019;38:1036–47.
Graupensperger S, Hultgren BA, Fairlie AM, Lee CM, Larimer ME. Using alcohol and cannabis as sleep aids: associations with descriptive norms among college students. Behav Sleep Med. 2023;21:84–96.
Smith GD, Ebrahim S. Mendelian randomization’: can genetic epidemiology contribute to understanding environmental determinants of disease? Int J Epidemiol. 2003;32:1–22.
Pasman JA, Smit DJA, Kingma L, Vink JM, Treur JL, Verweij KJH. Causal relationships between substance use and insomnia. Drug Alcohol Depend. 2020;214:108151.
Nishiyama T, Nakatochi M, Goto A, Iwasaki M, Hachiya T, Sutoh Y, et al. Genome-wide association meta-analysis and Mendelian randomization analysis confirm the influence of ALDH2 on sleep durationin the Japanese population. Sleep. 2019;42:zsz046.
Staley JR, Burgess S. Semiparametric methods for estimation of a nonlinear exposure-outcome relationship using instrumental variables with application to Mendelian randomization. Genet Epidemiol. 2017;41:341–52.
Biddinger KJ, Emdin CA, Haas ME, Wang M, Hindy G, Ellinor PT, et al. Association of habitual alcohol intake with risk of cardiovascular disease. JAMA Netw Open. 2022;5:e223849.
Silverwood RJ, Holmes MV, Dale CE, Lawlor DA, Whittaker JC, Smith GD, et al. Testing for non-linear causal effects using a binary genotype in a Mendelian randomization study: application to alcohol and cardiovascular traits. Int J Epidemiol. 2014;43:1781–90.
Skrivankova VW, Richmond RC, Woolf BAR, Yarmolinsky J, Davies NM, Swanson SA, et al. Strengthening the reporting of observational studies in epidemiology using Mendelian randomization: the STROBE-MR statement. JAMA. 2021;326:1614–21.
Skrivankova VW, Richmond RC, Woolf BAR, Davies NM, Swanson SA, VanderWeele TJ, et al. Strengthening the reporting of observational studies in epidemiology using mendelian randomisation (STROBE-MR): explanation and elaboration. BMJ. 2021;375:n2233.
Ai S, Zhang J, Zhao G, Wang N, Li G, So H-C, et al. Causal associations of short and long sleep durations with 12 cardiovascular diseases: linear and nonlinear Mendelian randomization analyses in UK Biobank. Eur Heart J. 2021;42:3349–57.
Liu M, Jiang Y, Wedow R, Li Y, Brazel DM, Chen F, et al. Association studies of up to 1.2 million individuals yield new insights into the genetic etiology of tobacco and alcohol use. Nat Genet. 2019;51:237–44.
Ma H, Li X, Zhou T, Sun D, Shai I, Heianza Y, et al. Alcohol consumption levels as compared with drinking habits in predicting all-cause mortality and cause-specific mortality in current drinkers. Mayo Clin Proc. 2021;96:1758–69.
Stock JH, Wright JH, Yogo M. A survey of weak instruments and weak identification in generalized method of moments. J Bus Economic Stat. 2002;20:518–29.
GBD 2020 Alcohol Collaborators. Population-level risks of alcohol consumption by amount, geography, age, sex, and year: a systematic analysis for the Global Burden of Disease Study 2020. Lancet. 2022;400:185–235.
Bulik-Sullivan BK, Loh PR, Finucane HK, Ripke S, Yang J, Patterson N, et al. LD score regression distinguishes confounding from polygenicity in genome-wide association studies. Nat Genet. 2015;47:291–5.
Bulik-Sullivan B, Finucane HK, Anttila V, Gusev A, Day FR, Loh PR, et al. An atlas of genetic correlations across human diseases and traits. Nat Genet. 2015;47:1236–41.
Verbanck M, Chen CY, Neale B, Do R. Detection of widespread horizontal pleiotropy in causal relationships inferred from Mendelian randomization between complex traits and diseases. Nat Genet. 2018;50:693–8.
Burgess S, Davey Smith G, Davies NM, Dudbridge F, Gill D, Glymour MM, et al. Guidelines for performing Mendelian randomization investigations. Wellcome Open Res. 2019;4:186.
Jansen PR, Watanabe K, Stringer S, Skene N, Bryois J, Hammerschlag AR, et al. Genome-wide analysis of insomnia in 1,331,010 individuals identifies new risk loci and functional pathways. Nat Genet. 2019;51:394–403.
Watanabe K, Jansen PR, Savage JE, Nandakumar P, Wang X, Hinds DA, et al. Genome-wide meta-analysis of insomnia prioritizes genes associated with metabolic and psychiatric pathways. Nat Genet. 2022;54:1125–32.
Campos AI, García-Marín LM, Byrne EM, Martin NG, Cuéllar-Partida G, Rentería ME. Insights into the aetiology of snoring from observational and genetic investigations in the UK Biobank. Nat Commun. 2020;11:817.
Dashti HS, Daghlas I, Lane JM, Huang Y, Udler MS, Wang H, et al. Genetic determinants of daytime napping and effects on cardiometabolic health. Nat Commun. 2021;12:900.
Dashti HS, Jones SE, Wood AR, Lane JM, van Hees VT, Wang H, et al. Genome-wide association study identifies genetic loci for self-reported habitual sleep duration supported by accelerometer-derived estimates. Nat Commun. 2019;10:1100.
Wang H, Lane JM, Jones SE, Dashti HS, Ollila HM, Wood AR, et al. Genome-wide association analysis of self-reported daytime sleepiness identifies 42 loci that suggest biological subtypes. Nat Commun. 2019;10:3503.
Jones SE, Lane JM, Wood AR, van Hees VT, Tyrrell J, Beaumont RN, et al. Genome-wide association analyses of chronotype in 697,828 individuals provides insights into circadian rhythms. Nat Commun. 2019;10:343.
Kleitman N Sleep and wakefulness. Univ. Chicago Press: Oxford, England, 1963, viii, 552-viii, 552pp.
Laniepce A, Lahbairi N, Cabé N, Pitel AL, Rauchs G. Contribution of sleep disturbances to the heterogeneity of cognitive and brain alterations in alcohol use disorder. Sleep Med Rev. 2021;58:101435.
Spadola CE, Guo N, Johnson DA, Sofer T, Bertisch SM, Jackson CL, et al. Evening intake of alcohol, caffeine, and nicotine: night-to-night associations with sleep duration and continuity among African Americans in the Jackson Heart Sleep Study. Sleep. 2019;42:zsz136.
Britton A, Fat LN, Neligan A. The association between alcohol consumption and sleep disorders among older people in the general population. Sci Rep. 2020;10:5275.
Jackson CL, Gaston SA, Liu R, Mukamal K, Rimm EB. The relationship between alcohol drinking patterns and sleep duration among black and white men and women in the United States. Int J Environ Res Public Health. 2018;15:557.
Taveira KVM, Kuntze MM, Berretta F, de Souza BDM, Godolfim LR, Demathe T, et al. Association between obstructive sleep apnea and alcohol, caffeine and tobacco: A meta-analysis. J Oral Rehabil. 2018;45:890–902.
Haario P, Rahkonen O, Laaksonen M, Lahelma E, Lallukka T. Bidirectional associations between insomnia symptoms and unhealthy behaviours. J Sleep Res. 2013;22:89–95.
Hasler BP, Franzen PL, de Zambotti M, Prouty D, Brown SA, Tapert SF, et al. Eveningness and later sleep timing are associated with greater risk for alcohol and marijuana use in adolescence: initial findings from the national consortium on alcohol and neurodevelopment in adolescence study. Alcohol Clin Exp Res. 2017;41:1154–65.
Onyper SV, Thacher PV, Gilbert JW, Gradess SG. Class start times, sleep, and academic performance in college: a path analysis. Chronobiol Int. 2012;29:318–35.
Wittmann M, Paulus M, Roenneberg T. Decreased psychological well-being in late ‘chronotypes’ is mediated by smoking and alcohol consumption. Subst Use Misuse. 2010;45:15–30.
Chakravorty S, Kember RL, Mazzotti DR, Dashti HS, Toikumo S, Gehrman PR, et al. The relationship between alcohol- and sleep-related traits: results from polygenic risk score analyses and Mendelian randomization studies. Drug and Alcohol Dependence. 2023;251:110912.
Zhao J, Stockwell T, Naimi T, Churchill S, Clay J, Sherk A. Association between daily alcohol intake and risk of all-cause mortality: a systematic review and meta-analyses. JAMA Netw Open. 2023;6:e236185.
Piumatti G, Moore SC, Berridge DM, Sarkar C, Gallacher J. The relationship between alcohol use and long-term cognitive decline in middle and late life: a longitudinal analysis using UK Biobank. J Public Health (Oxf). 2018;40:304–11.
Daviet R, Aydogan G, Jagannathan K, Spilka N, Koellinger PD, Kranzler HR, et al. Associations between alcohol consumption and gray and white matter volumes in the UK Biobank. Nat Commun. 2022;13:1175.
Simon J, Fung K, Kolossváry M, Sanghvi MM, Aung N, Paiva JM, et al. Sex-specific associations between alcohol consumption, cardiac morphology, and function as assessed by magnetic resonance imaging: insights form the UK Biobank Population Study. Eur Heart J Cardiovasc Imaging. 2021;22:1009–16.
Sharma R, Sahota, P, Thakkar MM. (2015). Orexin, Alcohol and Sleep Homeostasis. In: Sakurai T, Pandi-Perumal S, Monti J. (eds) Orexin and Sleep. Springer, Cham: Switzerland, 2012, pp 137–64.
Britton A, Bell S. Reasons why people change their alcohol consumption in later life: findings from the Whitehall II Cohort Study. PLoS One. 2015;10:e0119421–e0119421.
Elmenhorst EM, Elmenhorst D, Benderoth S, Kroll T, Bauer A, Aeschbach D. Cognitive impairments by alcohol and sleep deprivation indicate trait characteristics and a potential role for adenosine A(1) receptors. Proc Natl Acad Sci USA. 2018;115:8009–14.
Chan JK, Trinder J, Andrewes HE, Colrain IM, Nicholas CL. The acute effects of alcohol on sleep architecture in late adolescence. Alcohol Clin Exp Res. 2013;37:1720–8.
Scanlan MF, Roebuck T, Little PJ, Redman JR, Naughton MT. Effect of moderate alcohol upon obstructive sleep apnoea. Eur Respir J. 2000;16:909–13.
Cao Y, Willett WC, Rimm EB, Stampfer MJ, Giovannucci EL. Light to moderate intake of alcohol, drinking patterns, and risk of cancer: results from two prospective US cohort studies. BMJ. 2015;351:h4238.
Giovannucci E, Colditz G, Stampfer MJ, Rimm EB, Litin L, Sampson L, et al. The assessment of alcohol consumption by a simple self-administered questionnaire. Am J Epidemiol. 1991;133:810–7.
Lauderdale DS, Knutson KL, Yan LL, Liu K, Rathouz PJ. Self-reported and measured sleep duration: how similar are they? Epidemiology. 2008;19:838–45.
McCarter SJ, Hagen PT, St Louis EK, Rieck TM, Haider CR, Holmes DR, et al. Physiological markers of sleep quality: a scoping review. Sleep Med Rev. 2022;64:101657.
Acknowledgements
This work was supported by the Ministry of Science and Technology of China (Nos. 2021ZD0202101, and 2021ZD0201900), and the National Natural Science Foundation of China (Nos. 82130040, and 82288101). This study was conducted using the UK Biobank resource (Application Number 48344) and NHANES. We are grateful to all participants and researchers involved in these prospective cohort.
Author information
Authors and Affiliations
Contributions
LL, JS, S-ZA, YS and J-WZ designed the study and wrote the protocol. X-WC and J-WZ searched and fetched data. J-WZ, NZ and S-ZA conducted the statistical analysis. X-QY, T-QD, W-YL, J-HD, SL, JS and LL interpreted the results. J-WZ wrote the first draft of the manuscript. S-HC, YS, S-QM, Y-PB, J-LY, JS and LL revised the manuscript. All authors contributed to and have approved the final manuscript.
Corresponding authors
Ethics declarations
Competing interests
The authors declare that they do not have any conflicts of interest in this manuscript. UK Biobank has received ethical approval from the UK National Health Service’s National Research Ethics Service (ref 11/NW/0382). Individual data that support the findings of this study from the UK Biobank and NHANES are not publicly available due to their policy, but can be made available through an application with UK Biobank (https://www.ukbiobank.ac.uk/) and NHANES (https://www.cdc.gov/nchs/nhanes/index.htm/). The code of this study are available from the corresponding author upon reasonable request.
Additional information
Publisher’s note Springer Nature remains neutral with regard to jurisdictional claims in published maps and institutional affiliations.
Supplementary information
Rights and permissions
Springer Nature or its licensor (e.g. a society or other partner) holds exclusive rights to this article under a publishing agreement with the author(s) or other rightsholder(s); author self-archiving of the accepted manuscript version of this article is solely governed by the terms of such publishing agreement and applicable law.
About this article
Cite this article
Zheng, JW., Ai, SZ., Chang, SH. et al. Association between alcohol consumption and sleep traits: observational and mendelian randomization studies in the UK biobank. Mol Psychiatry 29, 838–846 (2024). https://doi.org/10.1038/s41380-023-02375-7
Received:
Revised:
Accepted:
Published:
Version of record:
Issue date:
DOI: https://doi.org/10.1038/s41380-023-02375-7


