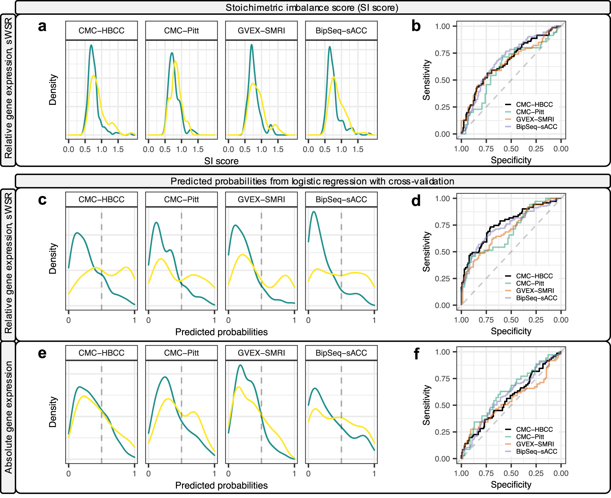
Fig. 6: SI score and predicted probabilities.
From: Bipolar patients display stoichiometric imbalance of gene expression in post-mortem brain samples

a Density distribution of SI score in each dataset (HC in green and BD in yellow) and b the associated ROC curves. c Density of the predicted probabilities estimated from the logistic regression of diagnosis as a function of relative gene expression (sWSR) and d the associated ROC curves. e Density of the predicted probabilities estimated from the logistic regression of diagnosis as a function of absolute gene expression and f the associated ROC curves.