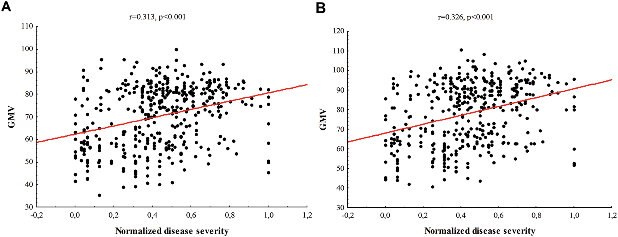
Fig. 2
From: A transdiagnostic neuroanatomical signature of psychiatric illness

Partial correlation between gray matter volume in the right (a) and left (b) putamen and the disease severity, controlling for age and gender. To ensure disease severity scores were comparable across different disorders, these scores were normalized accordingly within each diagnostic group with the following formula: normalized individual value = (individual value − minimum score)/(maximum score − minimum score). Following the application of this formula, the disease severity score of each patient ranged between 0 and 1. GMV gray matter volume measured as mm3 of gray matter per voxel