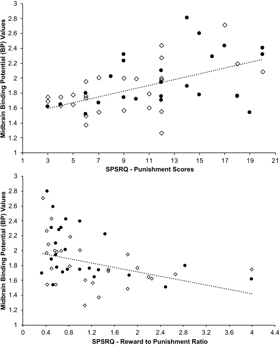
Fig. 3
From: Extra-striatal D2/3 receptor availability in youth at risk for addiction

Upper: Correlation between midbrain BPND values and Sensitivity to Punishment scores across the entire cohort (rho = 0.51, p = 0.00014, N = 52; circles: high EXT; diamonds: low EXT). Lower: Correlation between midbrain BPND values and Sensitivity to Reward:Punishment score ratios across the entire cohort (rho = −0.47, p = 0.00042, N = 52; circles: high EXT; diamonds: low EXT).