Abstract
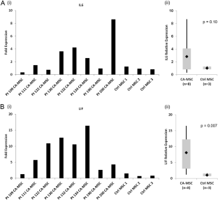
Ovarian carcinoma-associated mesenchymal stem cells (CA-MSC) produce not only high levels of interleukin-6 (IL6) but also the related cytokine leukemia inhibitory factor (LIF). IL6-mediated activation of STAT3 is implicated as a critical therapeutic target for cancer therapy. Less is known about the role of LIF, which can similarly activate STAT3, in ovarian cancer. We therefore sought to evaluate the tumorigenic effects of CA-MSC paracrine LIF signaling and the redundancy of IL6 and LIF in activating ovarian cancer STAT3 mediated cancer growth. As expected, we found that both IL6 and LIF induce STAT3 phosphorylation in tumor cells. In addition, both IL6 and LIF increased the percentage of ALDH+ ovarian cancer stem-like cells (CSC). Supporting redundancy of function by the two cytokines, CA-MSC induced STAT3 phosphorylation and increased cancer cell “stemness”. This effect was not inhibited by LIF or IL6 blocking antibodies alone, but was prevented by dual IL6/LIF blockade or JAK2 inhibition. Similarly, small hairpin RNA (shRNA)-mediated reduction of IL6 or LIF in CA-MSC partially decreased but could not completely abrograte the ability of CA-MSC to induce STAT3 phosphorylation and stemness. Importantly, the in vivo pro-tumorigenic effect of CA-MSC is abrogated by dual blockade with the JAK2 inhibitor ruxolitinib to a much greater extent than treatment with anti-IL6 or anti-LIF antibody alone. Ruxolitinib treatment also improves survival in the immunocompetent ovarian cancer mouse model system with ID8 tumor cells plus MSC. Ruxolitinib-treated tumors in both the immunocompromised and immunocompetent animal models demonstrate decreased phospho-STAT3, indicating on-target activity. In conclusion, CA-MSC activate ovarian cancer cell STAT3 signaling via IL6 and LIF and increase tumor cell stemness. This functional redundancy suggests that therapeutic targeting of a single cytokine may be less effective than strategies such as dual inhibitor therapy or targeting shared downstream factors of the JAK/STAT pathway.
This is a preview of subscription content, access via your institution
Access options
Subscribe to this journal
Receive 50 print issues and online access
$259.00 per year
only $5.18 per issue
Buy this article
- Purchase on SpringerLink
- Instant access to the full article PDF.
USD 39.95
Prices may be subject to local taxes which are calculated during checkout




Similar content being viewed by others
References
Survival Rates for Ovarian Cancer, by Stage. American Cancer Society. www.cancer.org. Accessed October 2017.
Musrap N, Diamandis EP. Revisiting the complexity of the ovarian cancer microenvironment—clinical implications for treatment strategies. Mol Cancer Res. 2012;10:1254–64.
Hanahan D, Coussens LM. Accessories to the crime: functions of cells recruited to the tumor microenvironment. Cancer Cell. 2012;21:309–22.
Nieman KM, Kenny HA, Penicka CV, Ladanyi A, Buell-Gutbrod R, Zillhardt MR, et al. Adipocytes promote ovarian cancer metastasis and provide energy for rapid tumor growth. Nat Med. 2011;17:1498–503.
Wang W, Kryczek I, Dostal L, Lin H, Tan L, Zhao L. et al. Effector T cells abrogate stroma-mediated chemoresistance in ovarian cancer. Cell. 2016;165:1092–105.
McLean K, Gong Y, Choi Y, Deng N, Yang K, Bai S, et al. Human ovarian carcinoma-associated mesenchymal stem cells regulate cancer stem cells and tumorigenesis via altered BMP production. J Clin Invest. 2011;121:3206–19.
Coffman LG, Choi YJ, McLean K, Allen BL, di Magliano MP, Buckanovich RJ.Human carcinoma-associated mesenchymal stem cells promote ovarian cancer chemotherapy resistance via a BMP4/HH signaling loop. ncotarget.2016;7:6916–32.
Yu H, Lee H, Herrmann A, Buettner R, Jove R. Revisiting STAT3 signalling in cancer: new and unexpected biological functions. Nat Rev Cancer. 2014;14:736–46.
Scambia G, Testa U, Benedetti Panici P, Foti E, Martucci R, Gadducci A, et al. Prognostic significance of interleukin 6 serum levels in patients with ovarian cancer. Br J Cancer. 1995;71:354–6.
Lane D, Matte I, Rancourt C, Piche A. Prognostic significance of IL-6 and IL-8 ascites levels in ovarian cancer patients. BMC Cancer. 2011;11:210.
Corcoran RB, Contino G, Deshpande V, Tzatsos A, Conrad C, Benes CH, et al. STAT3 plays a critical role in KRAS-induced pancreatic tumorigenesis. Cancer Res. 2011;71:5020–9.
Kenny HA, Nieman KM, Mitra AK, Lengyel E. The first line of intra-abdominal metastatic attack: breaching the mesothelial cell layer. Cancer Discov. 2011;1:100–2.
Penuelas S, Anido J, Prieto-Sanchez RM, Folch G, Barba I, Cuartas I, et al. TGF-beta increases glioma-initiating cell self-renewal through the induction of LIF in human glioblastoma. Cancer Cell. 2009;15:315–27.
Ye F, Hu Y, Lu W, Zhou C, Xie X. Expression of leukaemia inhibitory factor in epithelial ovarian carcinoma: correlation with clinical characteristics. Histopathology. 2008;53:224–8.
Burke WM, Jin X, Lin HJ, Huang M, Liu R, Reynolds RK, et al. Inhibition of constitutively active Stat3 suppresses growth of human ovarian and breast cancer cells. Oncogene. 2001;20:7925–34.
Gritsina G, Xiao F, O’Brien SW, Gabbasov R, Maglaty MA, Xu RH, et al. Targeted blockade of JAK/STAT3 signaling inhibits ovarian carcinoma growth. Mol Cancer Ther. 2015;14:1035–47.
Burgos-Ojeda D, McLean K, Bai S, Pulaski H, Gong Y, Silva I. et al.A novel model for evaluating therapies targeting human tumor vasculature and human cancer stem-like cells. Cancer Res. 2013;73:3555–65.
Pardanani A, Hood J, Lasho T, Levine RL, Martin MB, Noronha G, et al. TG101209, a small molecule JAK2-selective kinase inhibitor potently inhibits myeloproliferative disorder-associated JAK2V617F and MPLW515L/K mutations. Leukemia. 2007;21:1658–68.
Saini U, Naidu S, ElNaggar AC, Bid HK, Wallbillich JJ, Bixel K, et al. Elevated STAT3 expression in ovarian cancer ascites promotes invasion and metastasis: a potential therapeutic target. Oncogene. 2017;36:168–81.
van Dam M, Mullberg J, Schooltink H, Stoyan T, Brakenhoff JP, Graeve L, et al. Structure-function analysis of interleukin-6 utilizing human/murine chimeric molecules. Involvement of two separate domains in receptor binding. J Biol Chem. 1993;268:15285–90.
Kim B, Kim HS, Kim S, Haegeman G, Tsang BK, Dhanasekaran DN, et al. Adipose stromal cells from visceral and subcutaneous fat facilitate migration of ovarian cancer cells via IL-6/JAK2/STAT3 pathway. Cancer Res Treat. 2017;49:338–49.
Ding DC, Liu HW, Chu TY. Interleukin-6 from ovarian mesenchymal stem cells promotes proliferation, sphere and colony formation and tumorigenesis of an ovarian cancer cell line SKOV3. J Cancer. 2016;7:1815–23.
Domcke S, Sinha R, Levine DA, Sander C, Schultz N. Evaluating cell lines as tumour models by comparison of genomic profiles. Nat Commun. 2013;4:2126.
Zhou T, Georgeon S, Moser R, Moore DJ, Caflisch A, Hantschel O.Specificity and mechanism-of-action of the JAK2 tyrosine kinase inhibitors ruxolitinib and SAR302503 (TG101348).Leukemia. 2014;28:404–7.
Korkaya H, Kim GI, Davis A, Malik F, Henry NL, Ithimakin S, et al. Activation of an IL6 inflammatory loop mediates trastuzumab resistance in HER2+breast cancer by expanding the cancer stem cell population. Mol Cell. 2012;47:570–84.
Xu S, Grande F, Garofalo A, Neamati N. Discovery of a novel orally active small-molecule gp130 inhibitor for the treatment of ovarian cancer. Mol Cancer Ther. 2013;12:937–49.
Roby KF, Taylor CC, Sweetwood JP, Cheng Y, Pace JL, Tawfik O, et al. Development of a syngeneic mouse model for events related to ovarian cancer. Carcinogenesis. 2000;21:585–91.
Anglesio MS, George J, Kulbe H, Friedlander M, Rischin D, Lemech C, et al. IL6-STAT3-HIF signaling and therapeutic response to the angiogenesis inhibitor sunitinib in ovarian clear cell cancer. Clin Cancer Res. 2011;17:2538–48.
Coward J, Kulbe H, Chakravarty P, Leader D, Vassileva V, Leinster DA, et al. Interleukin-6 as a therapeutic target in human ovarian cancer. Clin Cancer Res. 2011;17:6083–96.
Dijkgraaf EM, Santegoets SJ, Reyners AK, Goedemans R, Wouters MC, Kenter GG, et al. A phase I trial combining carboplatin/doxorubicin with tocilizumab, an anti-IL-6R monoclonal antibody, and interferon-alpha2b in patients with recurrent epithelial ovarian cancer. Ann Oncol. 2015;26:2141–9.
Acknowledgements
The authors would like to thank Yusong Gong for her technical assistance in the beginning stages of this project. Funding for this work has been provided in part by the Women’s Reproductive Health Research (WRHR) Career Development Program Award to KM (National Institutes of Health, K12 HD065257), the Department of Defense Ovarian Cancer Academy Early-Career Investigator Award to KM (DOD W81XWH-15-0194), and the generous support of the Goldberg Family.
Author information
Authors and Affiliations
Corresponding author
Ethics declarations
Conflict of interest
The authors declare that they have no conflict of interest.
Rights and permissions
About this article
Cite this article
McLean, K., Tan, L., Bolland, D.E. et al. Leukemia inhibitory factor functions in parallel with interleukin-6 to promote ovarian cancer growth. Oncogene 38, 1576–1584 (2019). https://doi.org/10.1038/s41388-018-0523-6
Received:
Revised:
Accepted:
Published:
Version of record:
Issue date:
DOI: https://doi.org/10.1038/s41388-018-0523-6
This article is cited by
-
Tumor-associated mesenchymal stem/stromal cells in tumor microenvironment and carcinogenesis
Experimental Hematology & Oncology (2025)
-
A comprehensive overview of ovarian cancer stem cells: correlation with high recurrence rate, underlying mechanisms, and therapeutic opportunities
Molecular Cancer (2025)
-
Cracking the code: predicting tumor microenvironment enabled chemoresistance with machine learning in the human tumoroid models
npj Biomedical Innovations (2025)
-
Enhancing precision medicine: a nomogram for predicting platinum resistance in epithelial ovarian cancer
World Journal of Surgical Oncology (2024)
-
Blockade of TGF-β and PD-L1 by bintrafusp alfa promotes survival in preclinical ovarian cancer models by promoting T effector and NK cell responses
British Journal of Cancer (2024)


