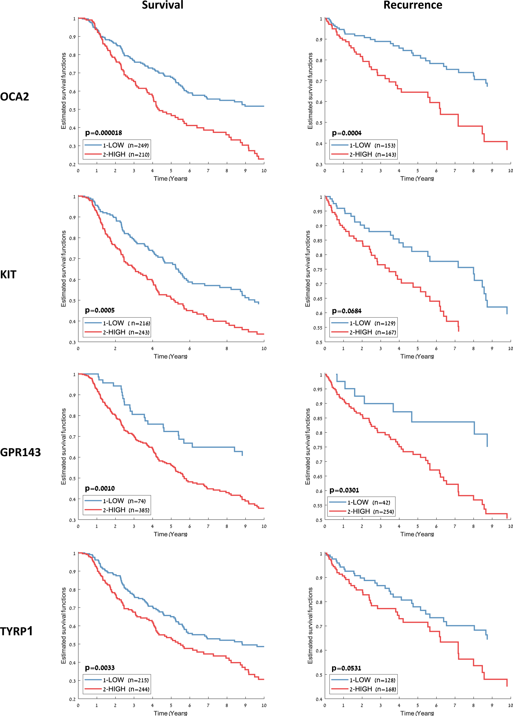
Fig. 2: Ten-year survival and recurrence risk estimates for melanosome-related genes.

All dataset samples were split into two groups based on the gene expression levels of several melanosome-related genes. For each gene, the threshold for splitting the samples into two groups was the mean of its 5th and 95th expression percentile.