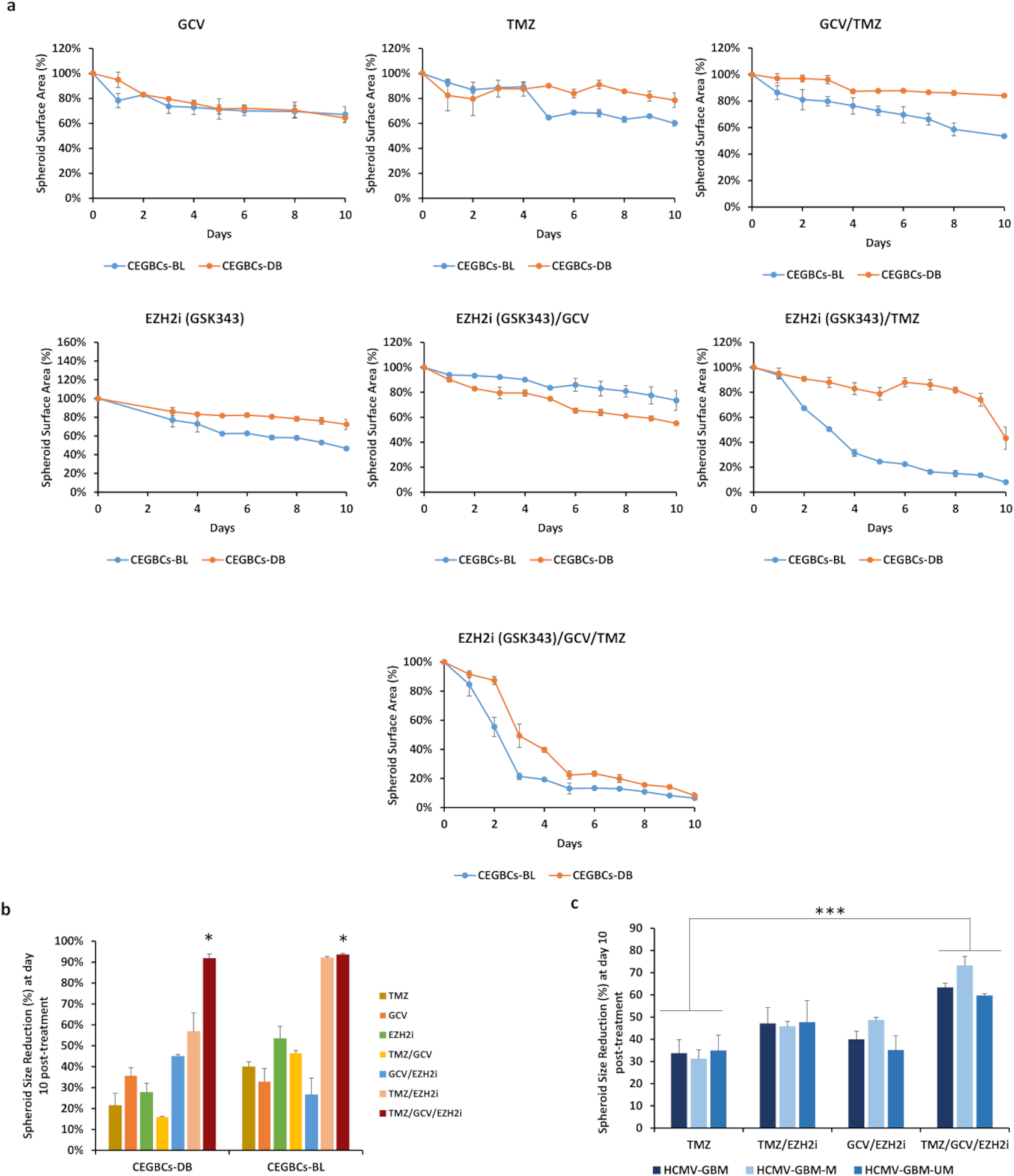
Fig. 8: The effect of diverse single and combination therapies on CEGBCs’ growth.
From: EZH2-Myc driven glioblastoma elicited by cytomegalovirus infection of human astrocytes

a Curves representing the spheroid surface area corresponding to CEGBCs-DB and BL under GCV(20 μM), TMZ(50 μM), GCV(20 μM)/TMZ(50 μM), GSK343 (0.1 μM), GSK343 (0.1 μM)/ GCV(20 μM), GSK343 (0.1 μM)/TMZ(50 μM), and GSK343 (0.1 μM)/GCV(20 μM)/TMZ(50 μM) therapies. b Histogram representing the CEGBCs-DB and BL spheroids size reduction 10 days post-treatment. Data are represented as mean ± SD of two independent experiments. *p-value ≤ 0.05. c Histogram representing the CEGBCs-GBM spheroids size reduction at day 10 post-treatment. Data are represented as mean ± SD of two independent experiments. *p-value ≤ 0.05; ***p-value ≤ 0.001.