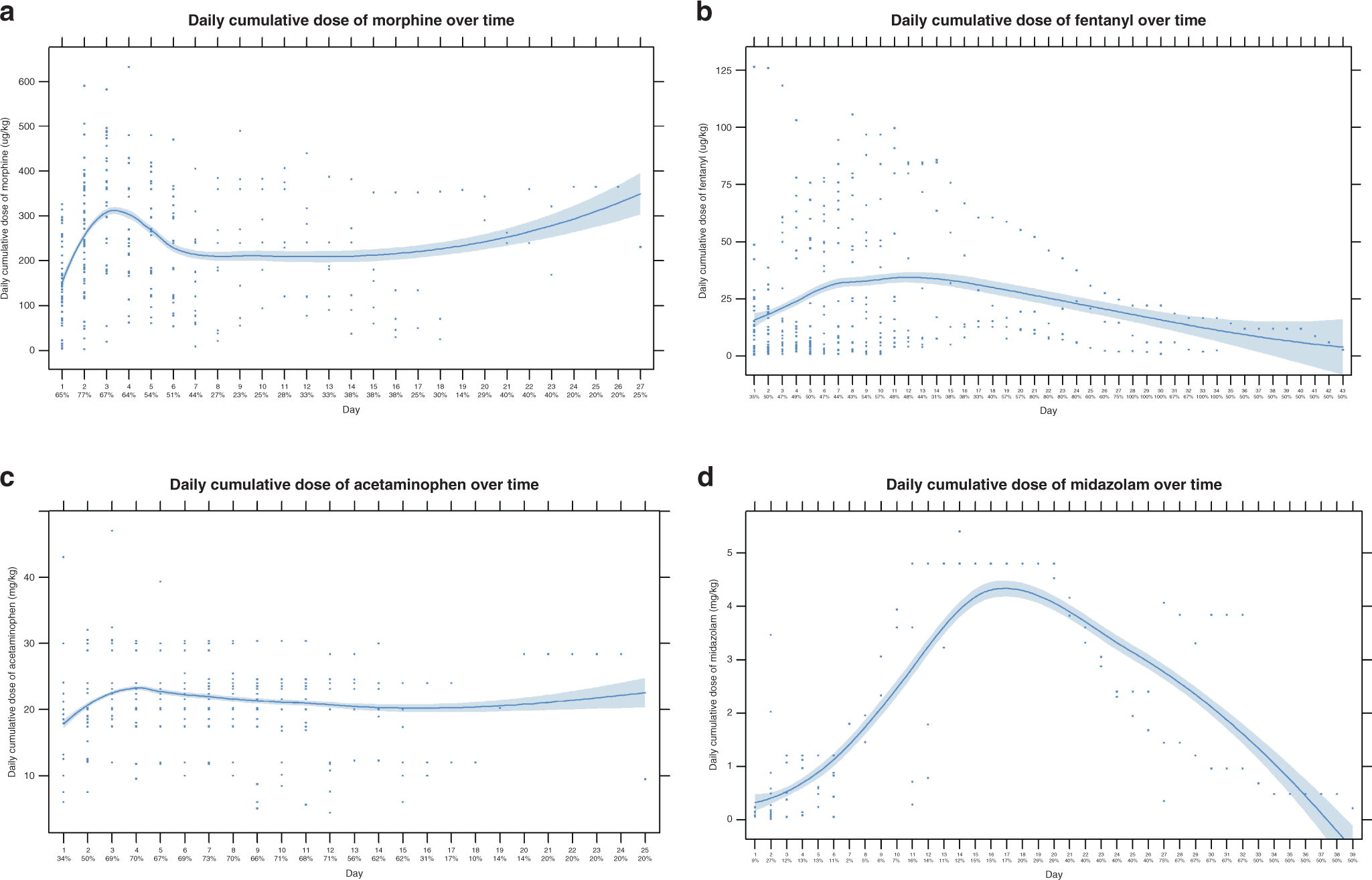
Fig. 3: Scatter plots of the daily cumulative dose of morphine, fentanyl, acetaminophen, and midazolam over time with a superimposed smooth regression line and the corresponding standard error bounds.
From: Pain management for necrotizing enterocolitis: getting the balance right

The percentage of the cohort receiving the analgesic is indicated below the day. a Morphine is mainly used during the first five days, with the daily cumulative dose peaking at day 3. b Fentanyl is used more frequently after the first week, representing a switch from morphine to fentanyl. c Acetaminophen use is initially low, but increases over the first week. d Midazolam use is common among patients with a very long disease period.