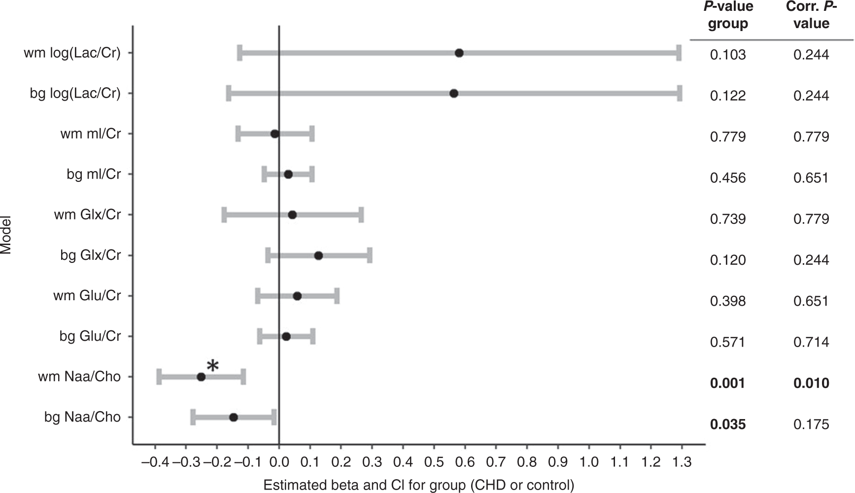
Fig. 4: Metabolite differences between groups: estimated betas and confidence intervals.

For each model, the estimated beta coefficient of the group, its 95% confidence interval (CI), and p values are listed. Complete models are described in Supplementary Table 3. The figure to the right illustrates the results as follows: A beta coefficient for the group that is positive describes a larger metabolite ratio for the CHD group. CI crossing 0.0 implies that there is no significant effect. Lactate was logarithmically transformed, for results see Supplementary Table 2. Asterisk (*) indicates the results that remained significant after false discovery rate correction. NAA N-acetylaspartate, Cho choline, Cr creatine, mI myo-Inositol, Glx glutamate+glutamine, Glu glutamate, Lac lactate.