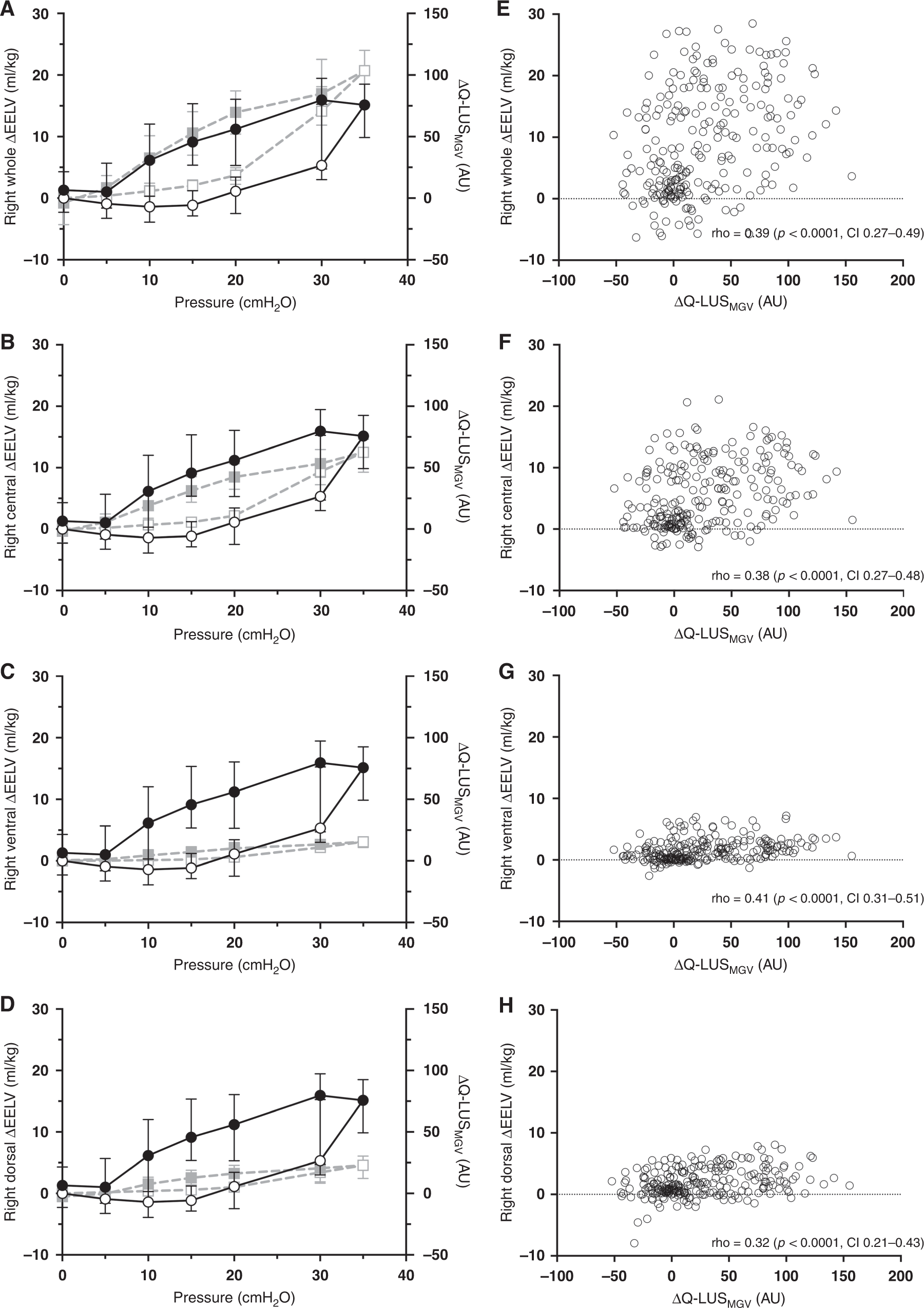
Fig. 4: Dependent lung.
From: Quantitative lung ultrasound detects dynamic changes in lung recruitment in the preterm lamb

A–D Static regional PV curves from EIT (squares, grey dashed line) of the whole right lung (A), ventral (B), central (C) and dorsal (D) regions and Q-LUSMGV from dependent lung imaging (circles, black solid line). All data median (IQR). ∆Q-LUSMGV normalised to baseline. Open shapes represent the inflation limb and closed shapes the deflation limb. E–H Correlation between ∆Q-LUSMGV and regional lung volume for the corresponding lung regions in panels A–D. AU arbitrary units, CI confidence interval, cm H2O centimetres of water, EELV end-expiratory lung volume, rho Spearman’s correlation co-efficient, Q-LUSMGV quantitative lung ultrasound mean grey value. Left axis: lung volume (ml/kg). Right axis: ∆Q-LUSMGV.