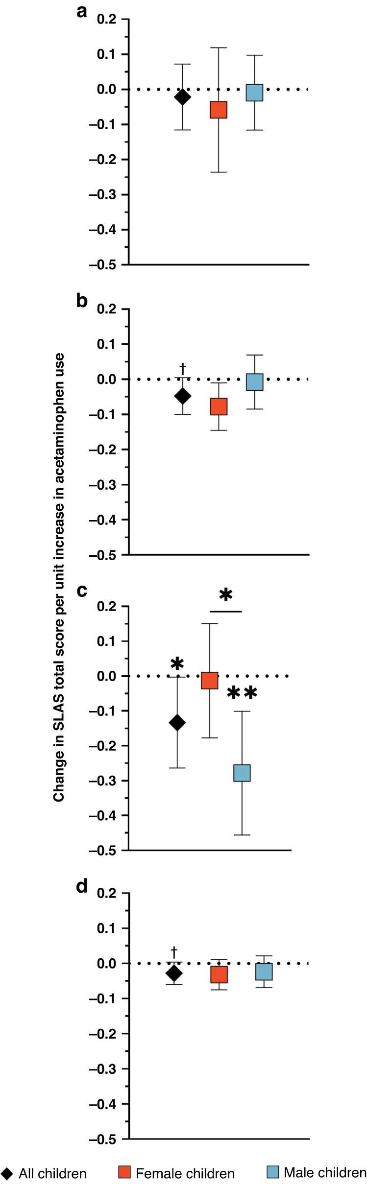
Fig. 4: Associations of prenatal acetaminophen exposure and SLAS total score at 36–38 months by trimester of exposurea.

More acetaminophen use during (a) the first trimester was not related to SLAS scores. More frequent use during the (b) second and (c) third trimesters, and (d) throughout pregnancy, was associated with lower SLAS total scores in all children. More acetaminophen use during third trimester was also related to a decrease in total SLAS scores in male children specifically. aModels were adjusted for child sex and mean stress and depression scores during pregnancy. †p < 0.10, *p < 0.05, **p < 0.01.